荧光爱好者周刊(第九期)
1 检测型荧光材料
1.1 小分子
1.1.1 bisulfite
这项研究开发了一种基于喹啉小分子的新型荧光探针QLN,用于亚硫酸盐(HSO3-/SO32-)的检测。该探针通过Michael加成反应可特异性识别HSO3-,具有良好的选择性和抗干扰能力,在pH 5-9的宽泛范围内都能有效工作,且响应时间快(<5秒)。研究表明,探针QLN在活细胞和食品样品中检测HSO3-具有实际应用价值,为监测生物系统氧化还原平衡中起关键作用的二氧化硫及其衍生物提供了一种有效的检测方法。

Liu, N.; Lin, Z.; Li, Y.; Wu, C.; Tian, M.; Tang, L. A Quinolinium-Based Fluorescent Probe for Ultrafast Detection of Bisulfite and Its Applications in Food Detection, SO2 Gas Detection, and Cell Imaging. Tetrahedron 2024, 168, 134355. https://doi.org/10.1016/j.tet.2024.134355.
1.1.2 碱性气体
这项研究设计合成了三种含有非平面螺旋桨状三苯基膦结构的席夫碱化合物(1-3),探索了它们在固态发光和蒸气响应方面的性质。研究发现,化合物1和2在固态下发生发光猝灭,而化合物3由于H-聚集体的形成表现出较弱的发光(λmax 573 nm,量子产率16%,寿命3.118 ns)。化合物3的固态发光特性通过聚集诱导发光和薄膜研究得到进一步验证。这些化合物由于分子内质子转移形成两性离子结构,对碱性蒸气表现出响应性,特别是化合物2和3表现出可逆的发光开关和调节特性。研究团队基于此开发了一种简单的可穿戴式氨气检测传感器,并通过电化学、晶体学、计算机模拟和机械致变色研究深入探讨了结构-功能关系,为开发用于传感、数据安全和显示设备的刺激响应有机材料提供了新思路。

Malik, A. A.; Ganie, A. A.; Wahid, M.; Dar, A. A. Multistimuli-Responsive Triphenylphosphine Anils: Development of a High-Contrast Wearable Ammonia Sensor. ACS Appl. Opt. Mater. 2024, acsaom.4c00320. https://doi.org/10.1021/acsaom.4c00320.
1.1.3 酸性气体
这篇研究主要探讨了邻位碳硼烷衍生物的荧光性质及其在酸性气体检测中的应用。具体而言,邻位碳硼烷衍生物在溶液中由于化学键旋转运动导致的非辐射衰减作用,通常表现出较弱的荧光性质,仅在聚集态下会出现荧光增强现象(聚集诱导发光)。研究人员首次发现了结晶态邻位碳硼烷衍生物在接触酸性气体时会产生显著的荧光增强现象,这一发现为开发高灵敏度、操作简便且成本低廉的气态酸检测传感材料提供了新的策略和方向。

Shi, J.; Li, M.; Xu, S.; Chen, M.; Zhang, X.; Zhang, Y.; Wu, L.; Ji, L. Crystalline o -Carborane Derivatives as a Fluorescence Turning-On Probe for Acid Environments. Crystal Growth & Design 2024, acs.cgd.4c00878. https://doi.org/10.1021/acs.cgd.4c00878.
1.2 金属/阳离子
1.2.1 Pb2+
本研究开发了一种简单、低成本的荧光探针——生物素-4-荧光素,用于快速检测Pb2+。当存在Pb2+时,荧光素的颜色会从黄色变为粉色,肉眼可见。该探针对Pb2+具有高选择性,不受其他金属离子的干扰。此外,颜色变化在pH值7.0以上时最为明显,并随着pH值的升高而加深。通过荧光光谱分析,计算得到结合常数Ka为2.00×10^4 M-1,检测限(LOD)为1.38×10^-5 M,定量限(LOQ)为4.61×10^-5 M。Job's plot分析表明,探针与Pb2+的结合比例为2:1。该方法成功应用于未经处理的废水中Pb2+的定量分析,为实际样品中的铅检测提供了新的工具。

Chaivisuthangkura, T.; Boosamund, N.; Asawutmangkul, N.; Khammee, T.; Jityuti, B.; Siangproh, W. Colorimetric and Fluorescence Detection of Pb2+ by Fluorescein Derivative. Spectrochimica Acta Part A: Molecular and Biomolecular Spectroscopy 2025, 327, 125373. https://doi.org/10.1016/j.saa.2024.125373.
1.2.2 Al3+
本文设计合成了一种基于氨基脲和吡唑啉偶联的新型荧光探针,用于选择性检测Al3+离子。该探针与Al3+离子形成1:1的配合物,导致荧光强度显著增强,而其他金属离子几乎不干扰检测。此外,该探针的Al3+配合物溶液还可用于特异性检测Hg2+离子,表现为荧光猝灭。

Zhang, H.; Lu, F.; Kong, Q.; Che, Y.; Li, X. A Highly Selective Fluorescent “Turn on” Probe for Al 3+ Based on Pyrazolone. ChemistrySelect 2024, 9 (41), e202403063. https://doi.org/10.1002/slct.202403063.
1.2.3 Ce3+
本文通过采用四节点二维荧光有机碱和线性双节点有机酸,成功合成了一种新型的具有荧光特性的CPOS-9。CPOS-9具有独特的二维层状结构,通过静电相互作用而非传统的π-π堆积进行堆叠。CPOS-9在纳米限域通道内具有丰富的结合位点,对Ce3+离子表现出高灵敏度和选择性,检测限低至80 nM。基于理论计算,首次提出了能量级匹配机制来解释在多孔有机材料中检测Ce3+离子时观察到的荧光猝灭现象。该工作丰富了二维CPOS的种类,并突出了其在稀土元素检测中的应用潜力。

Sun, D.; Xing, G.; Lyu, J.; Han, Y.; Sun, P.; Zhao, Y.; Iqbal, K.; Kong, H.; Zhang, Y.; Peng, D.; Song, B.; Zhu, W.; Ben, T. A 2D Layered Fluorescent Crystalline Porous Organic Salt. J. Mater. Chem. A 2024, 10.1039.D4TA06066K. https://doi.org/10.1039/D4TA06066K.
1.3 阴离子
1.3.1 ClO-
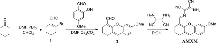
这项研究开发了一种基于6-甲氧基-2,3-二氢-1H-氧杂蒽-4-甲醛骨架的新型双信号探针AMXM,用于实际水样中次氯酸根离子(ClO-)的检测。当加入次氯酸盐时,溶液颜色肉眼可见地从红色变为黄色,在365nm紫外光下可观察到强烈的黄绿色荧光。该探针表现出优异的线性响应(R2 = 0.9922)和低检测限(56.2 nM),且不受其他潜在干扰物质的影响。研究团队通过1H NMR光谱和密度泛函理论(DFT)计算确认了AMXM对次氯酸根离子的响应机制,并成功将其应用于试纸条检测和四种实际水样中次氯酸根离子的定量测定。这项研究对于评估水质安全和污染物毒性具有重要意义,因为次氯酸盐作为一种强氧化剂在水处理、家用漂白和医疗消毒等终端消毒过程中被广泛使用。 
Zhang, Y.; Liu, J.; Xiao, J.; Li, F.; Liu, K.; Yang, M.; Liu, J. A PET Based Colorimetric/Fluorescent Dual-Signal Probe for Selective Detection of Hypochlorite in Real Water Samples. Journal of Molecular Structure 2025, 1322, 140568. https://doi.org/10.1016/j.molstruc.2024.140568.
1.4 痕迹检测
1.4.1 指纹检测
本文开发了一种新型的水溶性荧光染料DEPN,具有红色发射和扭曲分子内电荷转移(TICT)特性。通过与蒙脱土(MMT)混合制备固体复合荧光指纹粉末DEPN@MMT,可实现对1-3级指纹细节的成像。该方法具有制备简单、掺杂比低、光稳定性好等优点,不受基底限制。此外,DEPN还可用于水溶液中指纹的成像,在50 μM的浓度下,仅需20秒即可获得符合NFIQ2检测标准的高质量图像。这种双模态指纹成像探针具有高度实用性,为复杂情况下的指纹快速、便捷可视化提供了有效方法。

Pu, Z.-H.; He, J.; Liu, X.; Wang, J.; Bai, Q.-H.; Wang, C.-H.; Xiao, X. Dual-Mode Visual Imaging of Latent Fingerprints Based on Organic Fluorescent Probe with Enhanced TICT Emission. Sensors and Actuators B: Chemical 2025, 423, 136874. https://doi.org/10.1016/j.snb.2024.136874.
1.5 多重检测
1.5.1 CO和Al3+
本文提出了一种新的“分子量调控FRET方法”来构建用于同时监测CO和Al3+的逻辑门探针。通过选择萘酰亚胺和罗丹明作为能量转移基团,设计了两种硅烷探针P-Si-CO和Si-CO,以研究探针对CO和Al3+的响应。低分子量的Si-CO更有利于产生显著的FRET过程。为了更直观地显示探针的三通道和双重检测功能,构建了一个新的逻辑门模型,可以同时检测Al3+和CO。Si-CO还表现出良好的细胞成像效果,可用于可视化溶酶体中的缺氧和饥饿过程。这项工作为基于调节FRET理论构建逻辑门探针检测Al3+和CO提供了一种新方法。 
Zuo, Y.; Wang, F.; Gou, Z.; Yan, M. Molecular Weight Modulated FRET Based Logic Gate Probes for Lysosome Al3+ and CO Detection. Sensors and Actuators B: Chemical 2025, 423, 136869. https://doi.org/10.1016/j.snb.2024.136869.
2 功能型荧光材料
2.1 体外诊断
2.1.1 氯霉素检测
该研究设计并合成了一种基于三苯胺的D-π-A型荧光分子(TPA-CN),通过将其包封在聚苯乙烯纳米球内形成纳米域限制结构,成功将荧光量子产率从88.84%提升至98.21%。研究团队基于此开发了一种双信号读出生物传感器,结合抗原-抗体特异性识别和生物酶的选择性催化活性,以氯霉素为模型实现了超灵敏检测,在荧光检测模式下30分钟内达到24 pg/mL的检测限,较传统酶联免疫检测方法灵敏度提高38倍,检测速度提升10倍,为公共卫生和环境监测提供了一个可靠且通用的解决方案。
Zhang, Y.; Feng, N.; Hu, X.; Wang, X.; Tao, J.; Ji, Z.; Yang, Y.; Ma, J.; Chen, Y. Nanodomain-Enhanced Stable and Multifunctional Probes with Near 100% Quantum Yield for Versatile Biosensing. Nano Lett. 2024, acs.nanolett.4c04376. https://doi.org/10.1021/acs.nanolett.4c04376.
3 成像型荧光材料
3.1 检测物成像
3.1.1 ClO-
这项研究设计了一类新型双光子杂化荧光团(SDP和P-SDP),通过将经典的2-(2′-羟基苯基)苯并噻唑染料与双光子羟基苯基-丁二烯基吡啶鎓荧光团结合,实现了激发态分子内质子转移和分子内电荷转移机制的协同作用,从而获得近红外发射和显著的斯托克斯位移。研究人员进一步将N,N-二甲基硫代氨基甲酸酯作为特异性识别基团引入,开发了两种次氯酸(HOCl)荧光探针SDP-SN和P-SDP-SN。这两种探针对HOCl表现出超快响应(小于3秒),分别在714nm和682nm处产生近红外发射,具有303nm和271nm的显著斯托克斯位移。由于其优异的性能和穿透血脑屏障的能力,这些探针成功应用于HOCl的双光子细胞成像和活体成像,包括观察炎症、高血糖和铁死亡相关的细胞模型中HOCl的内源性产生,以及在系统性炎症小鼠模型中对脑部和腹腔HOCl的体内生成进行成像。

Long, Y.; Liu, J.; Ju, Z.; Qi, F.; Tang, W.; Yan, S.; Dai, F.; Zhang, S.; Zhou, B. Two-Photon Cellular and Intravital Imaging of Hypochlorous Acid by Fluorescent Probes That Exhibit a Synergistic Excited-State Intramolecular Proton Transfer–Intramolecular Charge Transfer Mechanism Enabling Near-Infrared Emission with a Large Stokes Shift. Anal. Chem. 2024, 96 (45), 18104–18112. https://doi.org/10.1021/acs.analchem.4c04075.
3.1.2 H2O2
本文设计了一种基于碳点和有机小分子探针的近红外比率荧光传感平台,用于活体过氧化氢的比率成像。该平台具有高灵敏度和选择性,可实现对生物体内过氧化氢的精确检测。 
Zheng, B.; Wang, S.; Huang, L.; Xu, J.; Luo, Y.; Zhao, S. A Hydrogen Peroxide Activated Near-Infrared Ratiometric Fluorescent Probe for Ratio Imaging in Vivo. Chem. Commun. 2024, 10.1039.D4CC04167D. https://doi.org/10.1039/D4CC04167D.
3.1.3 β3-ARP成像
本文开发了一种新型的配体定向锚定探针β3-ARP,用于实时监测活细胞中β3-肾上腺素受体(β3-AR)的动态分布。该探针能够选择性识别和追踪β3-AR,并实现对活细胞中β3-AR的动态观察和监测,包括脂滴与线粒体之间的相互作用。此外,该探针还可用于直接探测衰老小鼠不同器官中β3-AR的分布,以及不同类型原代神经细胞中β3-AR的定位。该研究为探索β3-AR与年龄相关疾病之间的联系提供了一种新的工具。 
Liu, Y.; Luo, X.; Cheng, W.; Zhou, L.; Zhou, Y.; Zhu, H.-L.; James, T. D.; Qian, Y. Mapping of Β3-Adrenergic Receptor in Living Cells with a Ligand-Guided Fluorescent Probe. Anal. Chem. 2024, 96 (45), 18020–18028. https://doi.org/10.1021/acs.analchem.4c03408.
3.1.4 VDPs
本文开发了一种可激活的红色荧光探针VDP-red,用于检测VDPs。通过该探针,首次发现中风小鼠模型中还原态VDPs水平降低。该研究为理解中风机制提供了新的视角。 
Shen, R.; Chen, Y.; Chen, Y.; Sayed, Z. N.; Yi, M.; Sun, C.; Zhang, B.; Fang, J. An Activatable Red Emitting Fluorescent Probe for Monitoring Vicinal Dithiol Protein Fluctuations in a Stroke Model. Chem. Commun. 2024, 10.1039.D4CC04971C. https://doi.org/10.1039/D4CC04971C.
3.1.5 Cys
本文设计合成了一种新型的近红外荧光探针TF,用于特异性检测半胱氨酸。该探针具有快速响应、高选择性和高灵敏度等优点。通过对食品样品和活细胞进行成像,验证了该探针在实际应用中的潜力。

Zhou, M.; Liu, C.; Lin, Y.; Bai, T.; Ye, T.; Qian, Z.; Li, L.; Guo, L.; Liu, H.; Wang, J. Novel Near-Infrared Fluorescent Probe with Large Stokes Shift for Detection of Cysteine in Food Sample and Living Cells. Food Chemistry 2025, 464, 141755. https://doi.org/10.1016/j.foodchem.2024.141755.
3.1.6 GSH
本文开发了一种针对内质网(ER)的双光子荧光探针ER-GSH,用于检测GSH水平。研究发现,炎症反应导致ER应激和GSH水平显著降低。抗炎药物NS-398可通过维持GSH水平来抑制细胞炎症和ER应激。该研究强调了调节GSH水平以减轻神经炎症的潜在治疗意义。

Song, X.; Wang, X.; Wang, Y.; Hao, Y.; Li, C.; Chai, L.; Ren, H.; Chen, J.; Hu, W.; James, T. D. Monitoring Glutathione Content of the Endoplasmic Reticulum under Scrap Leather-Induced Endoplasmic Reticulum Stress via an Endoplasmic Reticulum-Targeted Two-Photon Fluorescent Probe. Anal. Chem. 2024, 96 (45), 18132–18140. https://doi.org/10.1021/acs.analchem.4c04157.
3.2 细胞成像
3.2.1 细胞器
这项研究开发了一类新型的硼络合吡咯基水杨醛腙荧光染料(BPSHY)。通过吡咯和水杨醛衍生物与各种芳基硼酸的多样性导向缩合反应进行合成,由于硼轴向取代的大体积芳基基团形成的三维结构,使这类染料在多种溶剂中表现出优异的溶解性。BPSHY染料在可见光区域具有强吸收和显著的斯托克斯位移,并在水溶液中由于聚集诱导发光效应表现出强烈的发射,在固态下量子产率可达58%。研究团队进一步开发了两种含吗啉和三苯基膦盐的BPSHY探针,这些探针能够特异性标记活细胞中的溶酶体和线粒体等亚细胞器,并表现出卓越的染色效果和双光子荧光特性,为监测和观察细胞器的动态变化提供了有力工具。 
Yu, C.; Di, G.; Li, Q.; Guo, X.; Wang, L.; Gong, Q.; Wei, Y.; Zhao, Q.; Jiao, L.; Hao, E. Multicomponent Diversity-Oriented Access to Boronic-Acid-Derived Pyrrolide Salicyl-Hydrazone Fluorophores with Strong Solid-State Emission. Inorg. Chem. 2024, 63 (45), 21397–21409. https://doi.org/10.1021/acs.inorgchem.4c03194.
3.2.2 脂滴
本文研究发现,荧光染料的分子脂溶性参数ClogP值决定了其对脂滴的染色性能。通过调控ClogP值,开发了四种不同颜色的脂滴缓冲探针,实现了对脂滴的动态超分辨成像。研究发现脂滴通过膜融合储存过表达的ACSL3蛋白,并通过与溶酶体相互作用或脂吞噬作用降解过表达蛋白,从而维持细胞稳态。

Chen, J.; Qiao, Q.; Wang, H.; Jiang, W.; Liu, W.; An, K.; Xu, Z. Clog P‐Guided Development of Multi‐Colored Buffering Fluorescent Probes for Super‐Resolution Imaging of Lipid Droplet Dynamics. Advanced Science 2024, 2408030. https://doi.org/10.1002/advs.202408030.
这项研究聚焦于脂滴(LDs)独特的单分子层脂质膜结构研究。研究团队开发了一种名为LDM的前体探针,采用三重分子探针设计策略,结合了基于亲脂性的细胞器靶向性和微环境依赖性激活机制。当LDM前体探针暴露于脂滴周围的HClO/ClO-微环境时,会释放LDM-OH探针,该探针能够与脂滴膜蛋白结合,从而实现对环状脂滴膜的可视化观察。通过这一创新性工具,研究人员成功揭示了脂滴膜接触的动态机制以及其蛋白质积累参数。这是首个用于活细胞脂滴膜成像的分子探针,为进一步研究脂滴相关代谢疾病的特定调控机制和药物筛选提供了重要的研究工具。

Kong, L.; Bai, Q.; Li, C.; Wang, Q.; Wang, Y.; Shao, X.; Wei, Y.; Sun, J.; Yu, Z.; Yin, J.; Shi, B.; Fang, H.; Chen, X.; Chen, Q. Molecular Probes for Tracking Lipid Droplet Membrane Dynamics. Nat Commun 2024, 15 (1), 9413. https://doi.org/10.1038/s41467-024-53667-7.
这项研究开发了两种新型BODIPY衍生荧光团,用于实时监测脂滴(LDs)的动态变化。研究人员通过非对称和对称方式将三苯胺(TPA)基团引入BODIPY核心结构,分别实现了对绿色(GFP)和深红色(Cy5)共聚焦通道的荧光响应调控。这种双通道荧光成像能力使得在活细胞中对脂滴进行高分辨率的动态成像成为可能,为深入理解脂滴的行为提供了新的研究工具。这一进展对于研究从脂肪细胞到癌细胞等各种细胞类型中普遍存在且与多种疾病相关的脂滴具有重要意义,突破了现有方法主要依赖有限荧光染料进行静态成像的局限性。

Ordóñez-Hernández, J.; Ferrusca-Martínez, F.; Jiménez-Sánchez, A. BODIPY-Derived Fluorescent Probes for Targeting and Tracking Lipid Droplets Dynamics. Tetrahedron 2024, 168, 134354. https://doi.org/10.1016/j.tet.2024.134354.
4 诊疗型荧光材料
4.1 疾病诊断
4.1.1 膀胱癌
本文报道了一种基于糖肽的双特异性荧光探针bsProbe,用于早期检测膀胱癌和转移。该探针通过同时识别肿瘤和肿瘤微环境,显著提高了肿瘤的积累量,比单纯靶向CXCR4的探针高出约6倍。bsProbe能够显著扩大肿瘤诊断窗口,提高信噪比,从而实现早期诊断肺微转移和精确识别原位肿瘤模型中的肿瘤边界和微肿瘤。更重要的是,bsProbe在195例膀胱癌患者的临床样本中表现出90.48%的特异性和92.22%的敏感性,能够区分恶性和良性样本。该研究表明,这种协同靶向策略为早期检测膀胱癌和转移提供了一种有前景的方法,并可能进一步应用于临床隐匿性肿瘤的影像引导手术。

Hou, D.-Y.; Zhang, N.-Y.; Zhang, P.; Li, X.-P.; Wu, J.-C.; Lv, M.-Y.; Wang, Z.-J.; Hu, X.-J.; Liang, J.-X.; Wang, H.-L.; Wang, Y.-Z.; You, H.-H.; An, H.-W.; Wang, H.; Xu, W. In Vivo Self-Assembled Bispecific Fluorescence Probe for Early Detection of Bladder Cancer and Metastasis. Science Bulletin 2024, S2095927324007928. https://doi.org/10.1016/j.scib.2024.10.032.
4.2 疾病治疗
4.2.1 炎症
本文开发了一种新型的Cys特异性荧光H2S供体Bcy-NCS,克服了传统ICT基供体中多个荧光团释放的问题。Bcy-NCS可选择性响应Cys,释放H2S,并实现荧光监测。此外,Bcy-NCS还可减轻LPS诱导的RAW 264.7细胞炎症,具有潜在的抗炎作用。

Wang, N.; Wang, X.; Wang, J.; Ren, Y.; Hua, H.; Li, D. A Cysteine-Activated Fluorescent H 2 S Donor for Visualizing H 2 S Release and Alleviating Cellular Inflammation. Chem. Commun. 2024, 10.1039.D4CC04655B. https://doi.org/10.1039/D4CC04655B.