荧光爱好者周刊(第五期)
本周共有30篇关于荧光的文献,包括2篇综述,
1 综述
1.1.1 近红外光热癌症治疗纳米材料
Qiao等人综述了硫化氢(H2S)作为第三种气体信号分子在癌症治疗中的重要作用。H2S不仅是癌症生物标志物,还能通过调节其浓度直接影响肿瘤细胞增殖和转移。然而,气体供体无法主动聚集在肿瘤内并以可控方式释放气体,导致癌症治疗效果有限且可能产生毒性副作用。近红外(NIR)响应性光热探针具有快速响应时间、高选择性、灵敏度和非侵入性等特点,可实现精确、实时、可控的细胞和动物水平H2S浓度调节。通过多功能纳米载体平台将光热疗法与气体疗法和其他治疗方式相结合,有望提高癌症治疗效果并减少副作用。开发具有可控调节H2S浓度和光热性能的多功能探针是学术研究中的重要但具有挑战性的课题。本文对利用H2S作为生物标志物的多功能光热探针和结合H2S气体疗法与光热疗法及其他模式的探针这两种主要肿瘤NIR光热策略进行了批判性评估。此外,本文还探讨了这些技术的当前局限性并概述了未来的发展方向。总而言之,本文旨在为H2S和光热探针在癌症治疗中的无缝整合提供见解和指导,符合学术期刊的严格标准。

Zeng, Y.; Wu, T.; Pan, Q.; Qiao, D. Nanomaterials for Endogenous and Exogenous Hydrogen Sulfide-Based NIR Photothermal Cancer Therapy: A Review. ACS Appl. Nano Mater. 2024, acsanm.4c04512. https://doi.org/10.1021/acsanm.4c04512.
1.2 人工智能
Zeng等人深入探讨人工智能(AI)在制作高度精确和有效的荧光探针方面的革命性潜力。他们讨论如何利用人工智能:通过优化物理化学特性设计新型亚细胞染料;根据特定受体设计前瞻性亚细胞靶向探针;定量探索荧光分子的潜在化学规律以优化荧光探针的光学特性;优化探针的综合特性并指导多功能靶向探针的构建。此外,作者还将展示最近在探针开发方面由人工智能驱动的进展及其在生物医学方面的成功应用,同时应对挑战,并勾勒出变革亚细胞研究、诊断和药物发现的未来方向。

Zhu, Y.; Fang, Y.; Huang, W.; Zhang, W.; Chen, F.; Dong, J.; Zeng, W. AI-Driven Precision Subcellular Navigation with Fluorescent Probes. J. Mater. Chem. B 2024, 10.1039.D4TB01835D. https://doi.org/10.1039/D4TB01835D.
2 检测型荧光材料
2.1 金属/阳离子
2.1.1 Cu2+
Murugesapandian等人合成了一种 7-二乙氨基-4-羟基香豆素标记对称叠氮衍生物(SHC),SHC 荧光团可被用作比色和开关荧光探针,用于检测 Cu2+ 离子和半胱氨酸(Cys)。通过约伯图分析、质谱技术和 DFT 计算,确定了探针与 Cu2+ 和 Cys 与 SHC-Cu2+ 的结合率为 1:1。探针 SHC 被用于检测真实环境水样中的铜离子。

Mathivanan, M.; Malecki, J. G.; Murugesapandian, B. An Interesting Aggregation Induced Red Shifted Emissive and ESIPT Active Hydroxycoumarin Tagged Symmetrical Azine: Colorimetric and Fluorescent Turn on–off–on Response towards Cu2+ and Cysteine, Real Sample Analysis and Logic Gate Application. Spectrochimica Acta Part A: Molecular and Biomolecular Spectroscopy 2025, 326, 125270. https://doi.org/10.1016/j.saa.2024.125270.
Li等人合成并验证了三-(2-吡啶基)-甲胺罗多衍生物传感器对 Cu2+ 和谷胱甘肽的串联和选择性检测。该传感器的荧光强度与 Cu2+ 浓度在 100 到 900 nM 之间呈现出很强的线性关系,而原位生成的 Cu2+ 组合则能选择性地检测谷胱甘肽,在 3 到 30 μM 之间呈现出很强的线性响应。Cu2+ 和谷胱甘肽的检测限分别低至 28 nM 和 0.60 μM。此外,该传感器还能对真实葡萄酒样品中的 Cu2+ 和谷胱甘肽进行定量检测。

Yang, H.; Chen, R.; Dai, L.; Ren, B.; Yang, F.; Xu, Y.-J.; Li, Q. Construction of a Reaction-Based Fluorescent Sensor for Tandem Detection of Cu2+ and Glutathione in Wine. Food Chemistry 2024, 141632. https://doi.org/10.1016/j.foodchem.2024.141632.
2.1.2 Fe2+
Wang等人合成了两种新型探针 4a 和 4b,这两种分子可以开发成多功能检测探针,并成功应用于铁离子和常见硝基芳香族化合物(NAC)的荧光识别。 
Chen, Z.-H.; Chen, Z.-J.; Zeng, Y.; Liang, Y.-T.; Guo, J.-L.; Yang, S.-H.; Wang, Z.-Y. Multifunctional N-Fused Fluorescent Probes for Detection of Iron Ions and Nitro Explosives. Spectrochimica Acta Part A: Molecular and Biomolecular Spectroscopy 2024, 125281. https://doi.org/10.1016/j.saa.2024.125281.
2.1.3 Hg2+
You等人通过在罗丹明分子上加入 8-羟基喹啉和适当的连接剂,设计出了一种用于检测 Hg2+ 的高选择性、高灵敏度荧光探针 RHOQ。在 MeOH-Tris(20 mM,pH = 7.4,1:9,v/v)缓冲溶液中,加入 Hg2+ 后,RHOQ 在 594 纳米波长处的荧光增强了 550 倍,且反应速度快,检测限低(9.67 × 10-8 M)。 
Zhang, L.; Guo, J.; You, Q. A Rhodamine-Based Fluorescent Probe Bearing 8-Hydroxyquinoline Group for the Highly Selective Detection of Hg 2+ and Its Practical Application in Cell Imaging. RSC Adv. 2024, 14 (43), 31861–31867. https://doi.org/10.1039/D4RA06115B.
本文介绍了一种新型红色荧光探针KJL,用于检测痕量汞离子(Hg2+)。探针具有快速响应时间(4分钟以内)、红色发射(596 nm)、大斯托克斯位移(162 nm)、高灵敏度(LOD = 4.79 nM)和优异特异性等优点。KJL还验证了其在实际样品(自来水、饮用水、河水、湖水、尿液和血清)中准确监测痕量Hg2+水平的良好能力,并在环境/生物条件下具有显眼的Hg2+可视化能力,显示了该红色荧光探针在复杂环境和生物系统中的实际应用潜力。 
Yin, J.; Wu, Z.; Li, H.; Cao, B.; Wang, W. Monitoring of Mercury Ion in Environmental Media and Biological Systems Using a Red Emissive Fluorescent Probe with a Large Stokes Shift. Spectrochimica Acta Part A: Molecular and Biomolecular Spectroscopy 2025, 326, 125272. https://doi.org/10.1016/j.saa.2024.125272.
2.1.4 Th4+
Singh等人报告了一种基于荧光团四(4-磺酸苯基)乙烯(SuTPE)的 AIE 的 Th(IV) 触发检测方法。作者利用 Th(IV) 诱导的 SuTPE 聚集和 SuTPE 发射特性的同时大幅增强,实现了在 100% 水介质中对 Th(IV) 的选择性传感。Th(IV) 的检测限估计为 240 nM(56 ppb)。 
Ghosh, M.; Kadlag, S. S.; Bhosale, S. V.; Bhosale, S. V.; Swain, K. K.; Ghosh, A.; Singh, P. K. Advanced AIE Materials for Environmental Monitoring: Selective Sensing of Thorium(IV) in Aquatic Systems. ACS Appl. Mater. Interfaces 2024, acsami.4c10602. https://doi.org/10.1021/acsami.4c10602.
2.2 阴离子
2.2.1 CO32-
Zhou等人以天然荧光蛋白藻蓝蛋白(PC)为荧光探针,建立了一种响应时间快(50 秒内)、灵敏度高、选择性强的荧光检测方法,用于定量监测 CO32-,该方法的检出限(LOD)为 0.42 μM,并成功用于监测自来水和海水中的 CO32-,回收率在 99.28 % 至 106.40 % 之间。

Xu, Y.; Sun, R.; Wang, S.; Fei, F.; Gan, Z.; Zhou, P. A Portable Optical Sensor Combining Smartphone with Phycocyanin-Based Fluorescent Test Paper for Rapid, Visual and on-Site Detection of CO32–. Spectrochimica Acta Part A: Molecular and Biomolecular Spectroscopy 2024, 125276. https://doi.org/10.1016/j.saa.2024.125276.
2.3 小分子
2.3.1 hydrogen peroxide
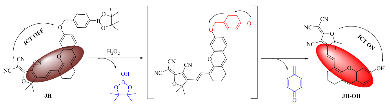
本文介绍了一种新型过氧化氢(H2O2)近红外荧光探针JH。探针基于氧蒽类似物分子框架构建,具有近红外发射波长和较大的斯托克斯位移,减少了对生物样品的损伤和背景干扰,提高了检测分辨率。探针可在95分钟内完成对H2O2的响应,具有较低的检测限(4.72 μM),且溶液颜色在响应后从深蓝色变为浅蓝色,无需工具即可肉眼识别H2O2。此外,探针JH已成功用于细胞内H2O2的检测,有望成为疾病早期诊断的工具。 
Zeng, H.; Wu, Y.; Chen, S.; Wang, H.; Wang, Y.; Huang, M.; Li, Y.; Ma, X.; Hou, S.-C. A Near-Infrared Fluorescence Probe Based on the ICT (Intramolecular Charge Transfer) Mechanism for the Detection of Hydrogen Peroxide in Cells. New J. Chem. 2024, 10.1039.D4NJ03747B. https://doi.org/10.1039/D4NJ03747B.
2.3.2 Picric Acid
Kaur等人通过在水介质中将芴酮官能化的酰胺基探针(AM)封装在阴离子表面活性剂十二烷基硫酸钠(SDS)的胶束中,组装出了二元组合 AM@SDS。PA 的检测限为 368 nM。 
Neha; Kaur, N. Precision Picric Acid Detection via a Fluorenone-Amide Functionalized Fluorescent Micellar Probe. Environmental Surfaces and Interfaces 2024, S2949864324000158. https://doi.org/10.1016/j.esi.2024.10.001.
2.3.3 ATP/ADP
Qin等人以4,4′-(芘-1,6-二基)二苯甲酸(H2PDBA),在水热条件下构建了一种新的锌金属有机框架(MOF),即 {[Zn(PDBA)]-2(CH3)2NH}n (Zn-MOF,PDBA = H2PDBA 的去质子化), 并用于检测水中的 ATP 和 ADP,其选择性高,荧光淬灭反应时间短(1 分钟内)。经测量,ATP 和 ADP 的 Ksv 值和检测限分别为 7.83/8.78 × 103 M-1 和 0.82/1.71 μM。

Xu, W.; Xu, S.; Zhang, X.; Huang, K.; Liang, L.; Qin, D. AIE Pyrene-Based Luminescent Zinc MOF for Selective and Sensitive ATP and ADP Sensing in Water by Analyte-Induced Structure Decomposition. Microchemical Journal 2024, 207, 111866. https://doi.org/10.1016/j.microc.2024.111866.
2.3.4 flufenamic acid
Thomas报告了一种新型荧光探针--竹茎废弃物衍生碳点(BS-CDs),用于高灵敏度检测有害消炎药氟芬那酸(FA)。在线性浓度范围(0.40 → 0.65 μM)内,BS-CDs 对 FA(400 μM)的检测荧光增强(∼2 倍),检测限(LoD;17 nM)和结合常数(Ka = 1.33 × 10-3 M-1)。人体尿液样本中 FA 的检测结果证明了 BS-CDs 探针的实用性,其回收率为 103% 至 109%。这表明所提出的基于 BS-CDs 的 "开启式 "传感器可用于测定生物液体中的 FA。

Adaikalapandi, S.; Thangadurai, T. D.; Sivakumar, S.; Nataraj, D.; Schechter, A.; Kalarikkal, N.; Thomas, S. Aggregation Induced Emission “Turn on” Ultra-Low Detection of Anti-Inflammatory Drug Flufenamic Acid in Human Urine Samples by Carbon Dots Derived from Bamboo Stem Waste. Spectrochimica Acta Part A: Molecular and Biomolecular Spectroscopy 2024, 125278. https://doi.org/10.1016/j.saa.2024.125278.
2.3.5 硝基苯
Wu等人采用溶热法合成了二维-BMO 荧光纳米片,并将纳米片用作检测硝基芳香族化合物苦味酸(PA)和 2,4-二硝基苯肼(2,4-DNPH)的荧光探针。PA 和 2,4-DNPH 的线性相应范围分别在 50-1100 nM 和 50-1400 nM ,检测限分别为 2.21 nM 和 2.30 nM,相应的 R2 值分别为 0.999 和 0.994。

Rehman, S. U.; Babulal, S. M.; Mustafa, M.; Wu, H.-F. Synthesis of Two-Dimensional Bismuth Molybdenum Oxide (2D-BMO) Nanosheets and Their Application as Fluorescent Probes for the Detection of Explosive Nitroaromatic Compounds. Environ. Sci.: Nano 2024, 10.1039.D4EN00517A. https://doi.org/10.1039/D4EN00517A.
2.3.6 Cys
Wang等人开发了一种新型比色和近红外比率荧光探针(CT),由香豆素和四氢吖啶共轭吲哚盐组成,用于检测 Cys。探针与 Cys 反应后,会发生特定的 N 取代反应,从而产生明显的比色变化,并在可见光和近红外发射通道中产生显著的比率荧光响应。这些双通道比率荧光变化是完全独立的,从而使探针获得了极高的选择性、灵敏度和卓越的检测精度。

Liu, C.; Lin, Y.; Chen, Z.; Ye, T.; Qian, Z.; Li, L.; Guo, L.; Liu, H.; Wang, J. Novel Colorimetric and Near-Infrared Ratiometric Fluorescent Probe for Sensing Cysteine in Food Samples, Plants, and Living Cells. J. Agric. Food Chem. 2024, acs.jafc.4c06381. https://doi.org/10.1021/acs.jafc.4c06381.
2.3.7 Diethyl-4-nitrophenylphosphate
Han等人通过 Zr4+ 与 AIE 配体的简易配位聚合,设计并合成了一种具有固有类酶活性的 AIE 纳米材料(命名为 "AIEzyme")。AIEzyme 的有机磷水解酶(OPH)模拟活性具有极佳的亲和性和特异性。有趣的是,类似 OPH 的活性可以通过典型的有机磷神经毒剂(OPNA)--4-硝基苯磷酸二乙酯的水解物淬灭 AIEzyme 的固有荧光,因此建立了基于AIE酶的自报告荧光检测方法,该方法具有超高灵敏度、高选择性、良好的贮存稳定性和可接受的可靠性,可用于实际样品检测。

Guo, X.; Zhang, Y.; Huang, B.; Han, L. Organophosphorus Hydrolase-like Nanozyme with an Activity-Quenched Aggregation-Induced Emission Effect: A Self-Reporting and Specific Assay of Nerve Agents. Anal. Chem. 2024, acs.analchem.4c02982. https://doi.org/10.1021/acs.analchem.4c02982.
2.3.8 N2H4
Yi等人以活性铂(II)金属环(TPEMc)为供能体,以 rhodols(P1、P2 和 P3)为受能体,构建了用于检测 N2H4 的人工光收集系统(ALHS)。与单独使用 rhodols(P1、P2 和 P3)相比,基于 ALHS 的 N2H4 比率荧光探针显示出明显的信号放大和较低的检测限。

Zhang, D.; Liu, S.; Yang, X.; Jiang, B.; Ma, K.; Yang, J.; Yuan, X.; Yi, T. An Aggregation-Induced Emissive Platinum(II) Metallacycle as the Energy Donor of Rhodols for Ratiometric Detection of Hydrazine. ACS Appl. Mater. Interfaces 2024, acsami.4c12744. https://doi.org/10.1021/acsami.4c12744.
3 成像型荧光材料
3.1 细胞器成像
3.1.1 溶酶体
Chen等人开发了一种基于四面体 DNA 纳米结构(TDNs)的溶酶体靶向三元识别比率荧光探针,可通过 Cl-、Ca2+ 和 pH 分析溶酶体亚群。 TDN 探针由四条单链 DNA 组装而成,每条单链的末端都修饰有响应性荧光团(Pr-Cl 表示 Cl-、Pr-Ca 表示 Ca2+、Pr-pH 表示 pH)或参考荧光团(Cy5)。 荧光团被集成在刚性 TDN 的顶点,以最大限度地减少相互干扰,它们固定的配比建立了一个稳健的三元识别比率荧光传感器,用于原位分辨活细胞中的溶酶体亚群。

Zou, G.-Y.; Bi, F.; Yu, Y.-L.; Liu, M.-X.; Chen, S. Tetrahedral DNA-Based Ternary Recognition Ratiometric Fluorescent Probes for Real-Time In Situ Resolving Lysosome Subpopulations in Living Cells via Cl – , Ca 2+ , and pH. Anal. Chem. 2024, acs.analchem.4c02723. https://doi.org/10.1021/acs.analchem.4c02723.
4 功能型荧光材料
4.1 材料表征
4.1.1 静电纺丝
Qiao等人制备了一种(2-(4-乙烯基苯基)乙烯-1,1,2-三基)三苯(TPEE)与丙烯腈(AN)的共聚物(PTPEE-co-AN),并将其用作监测静电纺丝过程的荧光探针。由于物理缠结限制了 TPE 单元的运动,纺丝溶液的 PL 强度随着溶液中 PAN 的增加而增加。因此,PAN 纺丝溶液的粘度和浓度可以通过 PL 强度或假眼来监测。

Li, Z.; Qiao, X. Application of Aggregation-Induced Emission (AIE) Technology in Monitoring of the Preparation of Spinning Solution for Electrospinning. Fibers Polym 2024. https://doi.org/10.1007/s12221-024-00726-x.
4.2 CPL
Wu等人制备了多种高活性炔钯催化剂,并聚合了含有可聚合苯基异氰基团作为端基的聚(L/D-乳酸)大单体,从而获得了多种拓扑结构的瓶丛聚合物,其分子量可控,分子量分布窄。以四苯基乙烯(TPE)单元为核心的底丛聚合物具有可调的光致发光和圆偏振发光特性。

Li, S.-Y.; Duan, B.-H.; Liu, N.; Luo, J.; Chen, Z.; Wu, Z.-Q. Helical Star-Shaped Bottlebrush Polymers: From Controlled Synthesis to Tunable Photoluminescence and Circularly Polarized Luminescence. ACS Macro Lett. 2024, 1396–1402. https://doi.org/10.1021/acsmacrolett.4c00508.
4.3 OLED
Lin等人利用丙酮作为碳化溶剂,通过一步溶热法研制出了红色固态荧光碳点(SSF-CDs)。调整柠檬酸(CA)和尿素的摩尔比可以得到具有全色发光的固态荧光碳点(CD),这表明π-π相互作用增强,发射峰的红移更明显。此外,作者还发现这种策略适用于其他碳源,包括苯二胺、水杨酸和木质素。这项研究提出了一种制造固态发光 CD 的创新策略。 
Zhang, Y.; Yang, F.; Liu, C.; Hou, D.; Zheng, Y.; Gao, H.; Sun, H.; Lin, X. Solid-State Fluorescent Carbon Dots with Hydrophobic Modification Induced Red Emission for White Light-Emitting Diodes. Inorg. Chem. 2024, acs.inorgchem.4c03150. https://doi.org/10.1021/acs.inorgchem.4c03150.
5 诊疗型荧光材料
5.1 疾病诊断
5.1.1 帕金森症
Yu等人设计并合成了一种双光子(TP)激发荧光探针 WZ-AChE,用于特异性检测 AChE。WZ-AChE 可以检测 PC12 细胞中的 AChE 活性,并具有极高的灵敏度和选择性。此外,作者还成功地将 WZ-AChE 应用于小鼠帕金森病(PD)模型和小鼠抑郁症模型。研究结果表明,两种疾病模型中的 AChE 活性均高于对照组。

An, W.; Huang, Z.; Jiang, W.; Du, F.; Xu, C.; Shen, Q.; Yang, N.; Zhou, J.; Li, L.; Yu, C. A Highly Specific Two-Photon Fluorescent Probe for Real-Time Monitoring of Acetylcholinesterase in Neurogenic Disorders in Vivo. Analytica Chimica Acta 2024, 343309. https://doi.org/10.1016/j.aca.2024.343309.
5.1.2 阿尔兹海默症
Yan等人采用 "Cu2+ 激活 "策略设计了一种新型双功能近红外(NIR)荧光探针 LDMD-N。LDMD-N 对体外 Cu2+ 的快速检测(5 分钟)和高灵敏度(LOD = 0.0543 µM)表现出色,并能对活细胞中波动的 Cu2+ 水平进行可视荧光成像。值得注意的是,我们利用该探针观察到 Cu2+ 促进了斑马鱼体内 Aβ42 的聚集。体内和体外染色实验表明,LDMD-N 能有效区分 AD 模型小鼠和野生型(Wt)小鼠。这种Cu2+激活的双功能近红外荧光探针为阐明Aβ42聚集体与Cu2+之间错综复杂的关系提供了一种很有前景的工具。

Wang, B.; Shi, J.; Zhai, W.; Jiang, L.; Ma, Y.; Zhang, Z.; Zhao, F.; Wu, X.; Wu, J.; Wang, J.; Du, L.; Pang, X.; Yan, L. Construction of a Bifunctional Near-Infrared Fluorescent Probe for Visualization of Copper (II) Ions and Amyloid-β Aggregates in Alzheimer’s Disease. Sensors and Actuators B: Chemical 2025, 423, 136767. https://doi.org/10.1016/j.snb.2024.136767.
5.1.3 癫痫
Zhang等人首先构建了含有吡啶基和吲哚啉基的近红外 BODIPY 染料,在 BODIPY 染料的基础上,开发出了新型探针 BDP-NIR-Fa,它在监测 ONOO- 方面具有良好的特异性、更快的响应速度(60 秒)和更高的信噪比(247 倍)。基于这些优良特性,BDP-NIR-Fa 能够追踪活细胞和小鼠体内的内源性/外源性 ONOO- 波动,而不受其他活性氧的干扰。最重要的是,BDP-NIR-Fa 能在 KA 诱导的癫痫发作细胞和小鼠模型中以显著的时空分辨率观察到内源性 ONOO- 的变化,这为癫痫诊断提供了一种潜在的有力工具。

Han, R.; Ma, X.; Wang, J.; Zhang, B.; Ruan, M.; Jiao, J.; Zhao, W.; Zhang, J. Novel BODIPY-Based NIR Fluorescent Probe with Appropriate Stokes Shift for Diagnosis and Treatment Evaluation of Epilepsy via Imaging ONOO− Fluctuation. Sensors and Actuators B: Chemical 2025, 423, 136766. https://doi.org/10.1016/j.snb.2024.136766.
5.2 光治疗
5.2.1 光动力/光热
Wu等人合成了一种新型有机卟啉分子ONP和SNP,其A-D-A结构促进了分子间电荷转移,增强了近红外吸收和非辐射热生成。通过将萘酰亚胺中的氧原子替换为硫原子,显著改变了其光物理和光化学性质。硫原子的自旋轨道耦合效应促进了光诱导的系间穿越过程,从而有效生成活性氧物种。自组装形成的纳米材料ONP NPs和SNP NPs具有球形形态,平均尺寸约为150 nm。通过CCK-8实验评估了纳米材料对Hepa1-6细胞的生物相容性和光毒性。此外,通过多种体外实验,证实了SNP NPs在690 nm激光照射下的协同效应(光动力疗法和光热疗法)。使用DCFH-DA探针证实了SNP NPs生成细胞内活性氧物种。这项研究为开发具有高效治疗效果的有机纳米材料提供了一种巧妙的策略。

Tong, S.; Cheng, Y.; Liu, H.; Pang, Y.; Lin, X.; Hu, Z.; Wu, F. Thionation of Conjugated Porphyrin with Enhanced Photodynamic and Photothermal Effects for Cancer Therapy. Journal of Photochemistry and Photobiology A: Chemistry 2025, 459, 116085. https://doi.org/10.1016/j.jphotochem.2024.116085.