Skip to content

荧光爱好者周刊(第六期)

1 本周图片

成年斑马鱼的大脑,图片捕捉到了大脑外表皮密集的血管网络(红色),许多血管旁边是荧光颗粒周皮细胞(黄绿色)

图片来源 Hugo Chrost.

2 综述

2.1.1 吖啶基杂化荧光染料

本文综述了近年来吖啶基杂化荧光染料的研究进展。吖啶基杂化荧光染料通过结合吖啶生色团与其他功能基团或材料,增强了其荧光性能。这些染料在生物成像、传感和光电子学等领域引起了广泛关注。近年来,研究人员致力于开发具有更高水溶性、生物相容性和靶向能力的吖啶基杂化荧光染料,以促进其在生物成像应用中的应用,如监测细胞过程、研究蛋白质-蛋白质相互作用和检测特定生物分子。本文概述了过去十年中吖啶基杂化荧光染料的合成及其在光学性能方面的应用。本文有望推动具有更高性能和功能性的创新荧光材料的发展。

Pordel, M.; Gheibi, H.; Sharif, A. Recent Advances in the Synthesis and Optical Applications of Acridine-Based Hybrid Fluorescent Dyes. J Fluoresc 2024. https://doi.org/10.1007/s10895-024-04001-3.

2.1.2 深层组织成像材料

文章综述了最近开发的能够被X射线、γ射线和超声波激活的无机和有机PLPs,并讨论了它们在深层组织成像和治疗中的生物医学应用。这些发现为设计具有深层组织可再生持续发光特性的PLPs提供了指导,并有助于推动PLPs在光疗诊断、无创生物传感和能量收集等领域的应用。

Wei, Y.; Wang, J. X-Ray/γ-Ray/Ultrasound-Activated Persistent Luminescence Phosphors for Deep Tissue Bioimaging and Therapy. ACS Appl. Mater. Interfaces 2024, acsami.4c11585. https://doi.org/10.1021/acsami.4c11585.

3 检测型荧光材料

3.1 阳离子

3.1.1 Cu2+

本文报道了一种新型咪唑结构荧光探针H的合成与性质研究。探针H具有较大的斯托克斯位移,在加入Cu2+时表现出荧光猝灭和紫外-可见吸收光谱红移。探针对Cu2+具有良好的选择性和高灵敏度,无论是荧光还是紫外-可见吸收光谱方法,检测限均较低。根据Job's plot方程,探针H与Cu2+的结合比例为1:1。高分辨率质谱(HRMS)和密度泛函理论(DFT)计算证实,溶剂乙腈和阴离子氯离子参与了H-Cu2+复合物的形成。此外,建立的荧光分析方法成功应用于自来水和矿泉水中Cu2+的检测和加标回收实验。探针还具有出色的固态荧光和指纹检测应用中的二次指纹结构。

Feng, N.; Dong, C.; Shuang, S.; Song, S. Fluorescence and Colorimetric Dual-Mode Sensing of Copper Ions and Fingerprint Visualization by Benzimidazole Derivatives. Spectrochimica Acta Part A: Molecular and Biomolecular Spectroscopy 2025, 326, 125292. https://doi.org/10.1016/j.saa.2024.125292.

3.1.2 Cr3+

研究者们通过水溶液加热法合成了一种高灵敏度的荧光探针,即巯基丙酸(MPA)包覆的CdZnTe量子点(QDs),用于精确检测Cr(III)离子。合成的MPA-CdZnTe QDs尺寸为2.38±0.13纳米,呈现出闪锌矿结构,MPA分子通过Cd-S键有效包覆表面。通过研究回流时间和溶液pH值对MPA-CdZnTe QDs吸收和荧光光谱的影响,发现在长时间的回流过程中会发生Ostwald熟化现象。合成的CdZnTe QDs的量子产率(QY)可达89%,在酸性条件下的QY比碱性条件下高。

利用Cr(III)离子对MPA-CdZnTe QDs的猝灭效应,建立了一种用于定量检测微量Cr(III)离子的稳健方法。在Cr(III)离子的浓度范围为3.33×10^-6至5.00×10^-4 mol L^-1内观察到线性猝灭行为,荧光猝灭率由线性回归方程描述:1-F/F0 = 0.218 + 829.5268CCr(III)。检测限确定为2.63×10^-6 mol L^-1。MPA包覆的CdZnTe QDs对Cr(III)离子的荧光行为机制是光诱导电子转移。

Wu, M.; Zeng, D.; Han, S.; Zou, M.; Zhang, T.; Zhang, Y. Mercaptopropionic Acid-Capped CdZnTe Quantum Dots as Fluorescence Probe for Sensitive Detection of Cr(III) Ions. J Fluoresc 2024. https://doi.org/10.1007/s10895-024-03970-9.

3.1.3 Zn2+

研究者们合成了一种名为Y2ST的荧光探针,用于检测样品中的Zn2+。Y2ST是通过罗丹明B、水合肼和盐酸生成的中间体LBXJ,以及色酮3-甲醛和无水乙醇制备的。利用核磁共振(NMR)、红外光谱(IR)和质谱(MS)对中间体和探针的结构进行了表征。在确定了探针的结构后,研究者们测试了探针的响应时间、pH值、线性范围、检测限、准确性、配位比和样品回收率。此外,还比较了探针对不同离子的荧光选择性。Y2ST探针对Zn2+的检测限为0.7×10^-6 mol/L,在5×10^-6 mol/L至5×10^-5 mol/L的浓度范围内,对葡萄糖酸锌中的Zn2+的检测率达到了96.1%。这表明Y2ST探针可以被应用于Zn2+含量的测定。

Jin, L.; Jin, L.; Liu, H.; Wang, Z.; Lv, Y. Study on the Properties of Rhodamine B Fluorescent Probe Y2ST. Journal of the Indian Chemical Society 2024, 101420. https://doi.org/10.1016/j.jics.2024.101420.

3.2 阴离子

3.2.1 S2-

本文开发了一种新型序列特异性探针FS,用于同时检测硫化氢(H2S)和次氯酸(HClO)。探针FS在加入H2S时形成新化合物FO,产生红色荧光;FO进一步与HClO反应生成FO-O,产生绿色荧光。探针FS对H2S和HClO具有快速响应和良好的选择性,可用于检测细胞内H2S和HClO的动态变化,并具有特异性靶向脂滴的能力,对相关疾病的预防和诊断具有重要意义。

Li, F.; Zhou, B.-Z.; Sun, S.-K.; Miao, J.-Y.; Zhao, B.-X.; Lin, Z.-M. A Multifunctional Probe That Responds Sequentially to Hydrogen Sulfide and Hypochlorous Acid. Microchemical Journal 2024, 111945. https://doi.org/10.1016/j.microc.2024.111945.

3.2.2 AcO-

研究团队开发了一种新型的荧光探针QPDMT(o-(4-(2-(3-oxo-3,4-dihydroquinoxalin-2-yl)vinyl)phenyl) dimethylaminothiophene ester),专门用于准确检测生物体内重要的乙酸根离子(AcO−)。这种探针利用分子的亲核性和电子转移,在硫代甲酰醚键断裂后释放荧光团,产生530纳米处的开启荧光响应。QPDMT具有极低的检测限(30 nM)、快速的响应时间(20分钟)、在1-9 µM范围内的稳健线性响应以及出色的荧光量子产率(0.32)。重要的是,该探针展现出低细胞毒性,使其成为活细胞和生物体内源性AcO−检测的理想选择。

Zhiqiang, Z.; Ye, L.; Yan, C.; Jin, W.; Xiuzhi, X.; Fang, K. Small Molecule Quinoxaline Fluorescent Probe for AcO− Real-Time Detection in Vivo. J Fluoresc 2024. https://doi.org/10.1007/s10895-024-03966-5.

3.2.3 F-

研究人员采用两步法合成了一种三脚架型的AIE(聚集诱导发射)活性希夫碱(L4),并利用它与吡啶合成了钯(II)金属复合物(MH1)。通过X射线衍射研究,确定了合成的配体(L4)及其金属复合物(MH1)的分子几何结构,揭示了钯(II)复合物的正方形平面几何结构。DFT(密度泛函理论)研究表明,与钯(II)离子配位后,配体的HOMO-LUMO间隙减小。化合物L4表现出聚集诱导发射,且在MH1中观察到粘度诱导的发射增强。开发的金属复合物被用于通过配体交换反应灵敏且选择性地识别F−离子。钯(II)复合物(MH1)的特征是比率“关闭”响应和颜色变化。使用Benesi-Hildebrand方程计算出的结合常数为1.4 * 10^7 M−1。此外,MH1-F−复合物中的结合化学计量比为1:1。使用质谱法建立了感测机制,注意到了氟化物结合复合物的存在。生成的复合物的结构也通过基于DFT的研究建立。

Bala, I.; Singh, K.; Kiran; Kataria, R.; Sindhu, J. AIE Active Schiff Base Derived Pd(II) Complex as a Ratiometric Sensor for Fluoride Ion. Inorganica Chimica Acta 2025, 574, 122411. https://doi.org/10.1016/j.ica.2024.122411.

3.3 小分子

3.3.1 Okadaic acid

本文开发了一种基于磁性分子印迹聚合物(MMIPs)的荧光纳米探针,用于快速、灵敏地检测沉积物样品中的冈田酸(OA)。探针利用Fe3O4纳米粒子作为载体,莫能西钠盐作为虚拟模板,7-羟基香豆素作为信号识别单元。该磁性探针具有快速荧光响应和对OA的优异选择性。在最佳条件下,磁性纳米探针的荧光强度与OA浓度在76-983 ng L-1范围内呈线性关系,检测限为23 ng kg-1。该荧光纳米探针成功应用于三种沉积物样品中OA的选择性吸附和灵敏检测,回收率为90.86%-94.87%,相对标准偏差低于4.66%(n=3)。结果表明,基于磁性MIP的荧光纳米探针是一种可靠且稳健的工具,可用于灵敏、特异性地吸附海洋沉积物样品中的痕量OA。

Hao, X.; Zhang, H.; Lian, Z. Sensitive Detection of Okadaic Acid in Marine Sediment Using Magnetic Imprinted Fluorescent Nanoprobe. Microchemical Journal 2024, 207, 111952. https://doi.org/10.1016/j.microc.2024.111952.

3.3.2 Diosmin

本文开发了一种基于氮掺杂碳点(N-CDs)的荧光分析方法,用于快速、高效地检测地奥司明。N-CDs具有良好的荧光性能和稳定性,通过内过滤效应(IFE)与地奥司明相互作用,导致荧光猝灭。通过优化实验条件,建立了地奥司明浓度与N-CDs荧光猝灭强度之间的线性关系,实现了对地奥司明含量的准确测定。该方法具有简单、快速和较高的准确度,适用于地奥司明片剂和人血浆样品的检测。

Nonaka, H.; Wang, M.; Hamachi, I. P2Y12 Receptor Ligands Enable Design of Fluorescent Imaging Probes for Microglia. Chemistry Letters 2024, 53 (10), upae185. https://doi.org/10.1093/chemle/upae185.

3.3.3 H2S

研究者们开发了一种新型的荧光探针P-NBD,用于检测生物体系中的硫化氢(H2S)。这种探针基于聚二甲基硅氧烷(PDMS),因其成本效益、非毒性、灵活性和生物相容性以及易于后功能化的特点,成为开发此类探针的一个有前景的骨架。P-NBD通过PDMS衍生物与Cl-NBD的单步芳香环亲核取代反应设计并合成。由于裂解反应策略和分子内电荷转移(ICT)过程的发生,P-NBD能够通过比色法检测H2S。探针对H2S的检测限低至93 nM,显示出与其他报道的H2S探针相当的检测能力。此外,该探针还可用于HeLa细胞中H2S的成像。这项工作为设计和合成新型H2S探针提供了新的见解,并为PDMS在细胞成像中的应用提供了实验证据。

Wang, X.; Mejia, E.; Zuo, Y.; Lv, Z.; Wang, Z. Polydimethylsiloxanes - Based Fluorescent Probe for H2S Detection in Living Cells. J Fluoresc 2024. https://doi.org/10.1007/s10895-024-03949-6.

3.3.4 Dimethoate

研究团队合成了一种从莰醇衍生的酶激活探针CPA,用于检测农药乐果(dimethoate)。探针CPA中的酯键在羧酸酯酶(CE)的存在下能够被选择性水解和断裂,导致在501纳米处的绿色荧光信号显著增强。探针CPA对乐果的检测限计算为0.1104 μg/mL。更为重要的是,CPA被有效地用于农产品中微量乐果残留的定量测定,包括新鲜的蔬菜和水果,具有很好的准确性。此外,探针CPA还能够实现活细胞和斑马鱼中乐果的检测。这项工作预计将为食品样本和生物系统中有机磷农药残留的检测提供一种高灵敏度和准确的分析方法。

Li, X.; Meng, Z.; Gong, S.; Liang, Y.; Zhang, Y.; Xu, X.; Wang, Z.; Wang, S. Synthesis of a New Camphor-Derived Carboxylesterase-Activated Fluorescent Probe for Sensitive Detection of Dimethoate Residues in Agricultural Products and Its Applications in Biological Systems. Food Chemistry 2025, 464, 141625. https://doi.org/10.1016/j.foodchem.2024.141625.

3.3.5 三聚氰胺

研究团队开发了一种基于铜纳米簇(Cu NCs)的荧光探针,用于牛奶和婴儿配方奶粉中三聚氰胺的检测。该探针由硫代水杨酸(TSA)和聚乙烯吡咯烷酮(PVP)作为双重保护配体功能化。当Hg2+存在时,TSA-PVP@Cu NCs的荧光发射因静态猝灭而减弱,而三聚氰胺的加入则通过与Hg2+的配位作用及形成的稳定螯合物恢复了荧光发射。在优化条件下,研究团队记录了TSA-PVP@Cu NCs + Hg2+探针的初始荧光发射(F°)以及添加三聚氰胺后的荧光发射(F),并发现(F/F°)比值随三聚氰胺浓度的增加而增加,浓度范围在0.025–65 µM。检测限通过信噪比为3计算得出,为8.0 nM。该探针成功应用于牛奶和婴儿配方奶粉中三聚氰胺的检测,回收率和相对标准偏差均在可接受范围内,证明了该探针在实际样品中荧光检测三聚氰胺的可靠性和有效性。

Ali, R.; Alattar, A.; Albalawi, A. S.; Alkhamali, A.; Hakami, O. A.; Alharthi, H. H.; Alahmari, M. S.; Alharbi, A. H.; Aljohani, O. M.; Yahya Alzahrani, Y. A.; Albaqami, T. M.; El-Wekil, M. M. Developing a Switch “OFF-ON” Fluorescent Probe for Detection of Melamine Based on Doubly-Protected Red Emissive Copper Nanoclusters Mediated by Hg2+ Ions. Spectrochimica Acta Part A: Molecular and Biomolecular Spectroscopy 2025, 326, 125286. https://doi.org/10.1016/j.saa.2024.125286.

3.3.6 络氨酸

研究人员首次合成了一种新型的基于salamo-Co(II)的配位聚合物探针CP,其晶体结构通过X射线衍射分析确定为[Co3(L)2(PTA)(H2O)2]n·4nDMF。这种探针具有罕见的聚集诱导发光增强(AIEE)效应。在应用于氨基酸检测时,显示出对酪氨酸(Tyr)的高度选择性识别。随着酪氨酸的增加,探针的荧光强度在短时间内得到增强。通过荧光滴定实验确定了探针与Tyr的结合比例,探针CP对Tyr的检测限(LOD)计算为2.57×10^-9 M,结合常数Ka为2.96×10^5 M^-1。根据紫外吸收光谱、FT-IR光谱、ESI质谱和DFT计算,推测在探针溶液中加入Tyr后,Tyr可以与探针结合,触发FRET(荧光共振能量转移)和ICT(内部电荷转移)效应,导致荧光强度增加和蓝移,最终实现探针CP对酪氨酸的特异性识别。最后,研究了探针CP的实际应用,通过条带测试和真实水样测试,发现该探针可用于酪氨酸的定性和定量分析。

Yuan, P.; Chai, Z.; Zhang, H.; Tuo, N.; Wang, L.; Sun, C.; Dong, W. A Turn‐On Fluorescence Probe Based on a New Salamo‐Co (II) Coordination Polymer for Tyrosine Detection and Its Application in Water Samples. Applied Organom Chemis 2024, e7764. https://doi.org/10.1002/aoc.7764.

3.3.7 GHS/Cys/Hcy

本文提出了一种基于聚集诱导发射增强(AIEE)的双发射比率荧光探针,用于可靠地检测谷胱甘肽(GSH)。该探针由带负电荷的α-脂酸修饰的金纳米簇(LA@Au NCs)和带正电荷的硅纳米粒子(SiNPs)组成。SiNPs的加入通过静电相互作用和空间限制引起LA@Au NCs的聚集,增强了LA@Au NCs的荧光。Cu2+的加入由于电荷转移而猝灭了LA@Au NCs的发射。GSH的加入使LA@Au NCs的发射信号恢复,同时SiNPs的发射信号保持不变,作为GSH测量过程中的内标信号。研究发现,荧光比率(F680/F465)与GSH浓度在0.05-100 μM范围内成正比,检测限为1.7 nM(S/N = 3)。该系统被应用于检测膳食补充剂、人血清和唾液样品中的GSH。

Albalawi, A. S.; Alkhamali, A.; El-Wekil, M. M.; Ali, R. A Ratiometric Fluorescence Nanosensor for Glutathione Detection Based on Spatially Confined Dual-Emission of α-Lipoic Acid-Modified Gold Nanoclusters and Silicon Nanoparticles. Anal. Methods 2024, 10.1039.D4AY01525H. https://doi.org/10.1039/D4AY01525H.

本文开发了一种基于单一荧光探针的多通道传感器阵列,用于快速、可靠地检测肠道微生物及其关键代谢物,包括半胱氨酸(Cys)、谷胱甘肽(GSH)和同型半胱氨酸(Hcy)。该方法利用该荧光探针的多个结合位点和交叉反应传感原理,特异性识别不同的生物硫醇。通过分析生物硫醇的模式,该方法能够在5分钟内基于荧光指纹快速识别六种肠道衍生细菌,包括益生菌、中性菌和致病菌,并区分不同组成的细菌及其混合物。利用该方法同时测量多种肠道衍生细菌及其代谢物,所设计的阵列在区分结直肠癌(CRC)患者粪便样本和健康个体时达到了0.99的准确率。值得注意的是,所制备的传感器阵列还可以用于识别CRC的不同阶段。该方法的简单性、快速性和成本效益使其成为一种强大的肠道微生物分析平台。

Tan, H.; Zeng, M.; Fang, C.; Zhu, X.; Liu, F.; Long, Y.; Deng, R.; Yin, P.; Liu, M.; Li, H.; Zhang, Y.; Yao, S. Pattern-Based Rapid and Robust Profiling of Gut Microbiota and Its Metabolism with a Single Fluorescent Probe. Sci. China Chem. 2024. https://doi.org/10.1007/s11426-024-2191-y.

3.4 大分子

3.4.1 HSA

在本项研究中,科学家们合成了一种名为mRA的三苯胺罗丹明-3-乙酸(triphenylamine rhodanine-3-acetic acid)双功能荧光分子,该分子具有扭曲的分子内电荷转移(TICT)诱导发射特性,被用作一种新型的感测探针,用于荧光检测人血清白蛋白(HSA)。通过与血清白蛋白结合位点的特异性相互作用,mRA能够选择性地点亮,并显示出增强的光物理或生物响应效能。所得的荧光策略在与HSA相互作用时产生了剂量依赖的信号响应增强,在0.01至400 μg/ml的浓度范围内。该传感器探针展示了低检测限(10 ng/mL),并且被认为是一种可行的、低成本的、有效的HSA分析方法,适用于复杂生物流体中HSA的分析,有助于早期检测和诊断与白蛋白相关的疾病。

Chinnappan, R.; Mir, T. A.; Easwaramoorthi, S.; Sunil, G.; Feba, A.; Kanagasabai, B.; Wani, S. I.; Sandouka, M. N.; Alzhrani, A.; Devanesan, S.; AlSalhi, M. S.; Mani, N. K.; Al-Kattan, W.; Yaqinuddin, A.; Assiri, A. M.; Broering, D. C. Molecular Engineering of a Fluorescent Probe for Highly Efficient Detection of Human Serum Albumin in Biological Fluid. Sensors International 2024, 100304. https://doi.org/10.1016/j.sintl.2024.100304.

3.5 微环境

3.5.1 温度

本文开发了一种新型温度敏感性水凝胶,通过调节羟基查尔酮(HC)分子内氢键,实现了热诱导荧光增强。与传统AIEgens相反,该探针在温度升高时荧光强度增加。通过修饰三苯基膦,聚合物P-HCP组装成纳米水凝胶,可作为细胞内线粒体温度传感器的荧光探针。

Zhang, Q.-P.; Zhang, Q.; Sun, Y.-L.; Tao, X.; Zhao, Y.-T.; Guo, F.; Li, Z.-K.; Wang, Z.; Liang, Z.-H.; Yi, C.-H. Thermo-Controlled Water Microenvironment Inducing Fluorescence Enhancement of Chalcone Nanohydrogels for Mitochondrial Temperature Sensing. ACS Biomater. Sci. Eng. 2024, acsbiomaterials.4c01427. https://doi.org/10.1021/acsbiomaterials.4c01427.

4 成像型荧光材料

4.1 检测物成像

4.1.1 Multi-detection

研究者们设计并合成了一种基于吲哚融合1,8-萘酰亚胺衍生物的智能荧光探针Indole-NI-NBD,用于同时检测和区分四种最重要的活性硫物种:硫化氢(H2S)、半胱氨酸(Cys)、同型半胱氨酸(Hcy)和谷胱甘肽(GSH)。这一探针对这些活性硫物种显示出快速、选择性和灵敏的反应,在595纳米处有鲜明的荧光开启信号变化。此外,探针在575纳米处的独特吸光度增强和明显的颜色变化实现了H2S的“裸眼”检测。仅对Cys在560纳米处的独特荧光增强实现了其与H2S和Hcy/GSH的区分。更为重要的是,通过使用Indole-NI-NBD加载的测试条和RGB实验,构建了智能手机传感平台,实现了对H2S和Cys的方便、可靠和现场检测。最后,Indole-NI-NBD被应用于活细胞和斑马鱼中H2S、Cys、Hcy/GSH的成像,并通过不同荧光信号在单一激发波长下区分Cys。该研究为检测食品样本和生物系统中的有机磷农药残留提供了一种高灵敏度和准确的分析方法。

Lu, G.; Ding, S.; Wang, Y.; Meng, S.; Zhang, Y. A Novel Fluorescent Probe Based on Indole-Fused 1,8-Naphthalimide Derivative for Rapid Discrimination of H2S, Cys, and Hcy/GSH and Its Multi-Functional Applications. Dyes and Pigments 2025, 232, 112494. https://doi.org/10.1016/j.dyepig.2024.112494.

4.1.2 Cys

在这项研究中,研究者开发了一种基于三苯胺-苯并呋喃酮衍生物的荧光探针TPB-Cys,用于在高碳酸血症条件下监测活体肺细胞中的半胱氨酸(Cys)水平和成像。研究者尝试了一个系统的缺氧模型,涵盖了溶液测试和肺细胞成像。在溶液测试中,缺氧条件并没有明显影响荧光响应信号。随着Cys浓度的增加,540纳米处的荧光信号呈现剂量依赖性增强。该探针具有较长的线性范围、高灵敏度、高稳定性和高选择性等优点。由于细胞毒性低,TPB-Cys能够实现活体肺细胞内源性Cys水平的监测。此外,它还能够实现缺氧和缺氧恢复条件的影响可视化。这项工作对于精确诊断和潜在医疗技术都具有信息价值。

Wu, X.; Yang, N.; Liu, Q.; Zhu, Z. A Fluorescent Probe Containing Triphenylamine‐Benzofuranone Moiety for Detecting Cysteine and Imaging in Living Pulmonary Cells Under Hypercapnia. Luminescence 2024, 39 (10), e4933. https://doi.org/10.1002/bio.4933.

研究团队开发了一种新型的荧光探针HPXI-6C,专门针对线粒体中的半胱氨酸(Cys)进行检测。该探针采用碳酸盐作为新的识别单元,半菁作为发色团。HPXI-6C对Cys的选择性高于硫化氢、同型半胱氨酸和谷胱甘肽。Cys的检测限为42 nM。探针HPXI-6C能够在线粒体中定位,并在肿瘤细胞中对Cys产生响应,产生在725 nm处达到峰值的强荧光。此外,使用HPXI-6C揭示了对乙酰氨基酚肝毒性细胞中Cys的摄取和生成途径。HPXI-6C还成功应用于体内药物诱导的肝损伤中Cys的成像。研究表明,HPXI-6C在监测Cys方面具有很强的效力,有利于药物性肝损伤疾病的早期诊断。

Qin, G.; Gao, L.; Yin, N.; Wang, M.; Wang, Y.; Tang, J.; Gong, J.; Xu, Q. A Selective Mitochondria-Targeted Fluorescent Probe for Imaging Cysteine in Drug-Induced Liver Injury. Talanta 2025, 282, 127056. https://doi.org/10.1016/j.talanta.2024.127056.

4.1.3 G-四链体

研究团队开发了一种新型的近红外荧光探针ISAP,用于活细胞和体内成像线粒体DNA G-四链体(mtDNA G4s)。ISAP具有高灵敏度和特异性,能够与mtDNA G4s特异性结合,并用于研究其在细胞内的动态变化和生物学功能。该探针为揭示线粒体功能调控机制提供了新的工具。 Zhang, Y.; Cheng, Y.; Liu, X.; Tang, H.; Wang, F.; Tang, L.-J.; Jiang, J.-H. Visualization of Mitochondrial DNA G-Quadruplexes with Isaindigotone Derived Near-Infrared Fluorogenic Probe. Anal. Chem. 2024, acs.analchem.4c03722. https://doi.org/10.1021/acs.analchem.4c03722.

4.2 细胞成像

4.2.1 Microglia

本文提出了一种基于P2Y12受体的荧光探针设计策略,用于特异性标记小胶质细胞。该策略通过调节荧光波长,可以灵活地设计出多种新型的小胶质细胞荧光探针,为研究小胶质细胞的功能提供了新的工具。

Nonaka, H.; Wang, M.; Hamachi, I. P2Y12 Receptor Ligands Enable Design of Fluorescent Imaging Probes for Microglia. Chemistry Letters 2024, 53 (10), upae185. https://doi.org/10.1093/chemle/upae185.

4.3 组织成像

5 诊疗型荧光材料

5.1 疾病诊断

5.1.1 乳腺癌

本文提出了一种结合免疫-PET和NIR-II荧光成像的策略,用于乳腺癌术前检测和术中引导边缘评估。研究人员首先利用锆-89标记的沙图祖单抗戈维替康(SG)在小鼠自发性乳腺癌模型中实现了对肿瘤的高灵敏度PET检测。然后,他们开发了一种NIR-II探针ICG-SG,并建立了一种快速孵育成像方法,用于术中实时监测肿瘤边缘。该方法在小鼠乳腺癌模型中成功实现了肿瘤的完全切除和准确边缘评估。此外,该方法还应用于区分26名乳腺癌患者样本中的良性和恶性乳腺病变。因此,研究人员开发了靶向TROP2的核素和光学探针,用于人类乳腺癌术中快速准确地识别肿瘤边缘。

Chen, W.; Zhang, Y.; Zhang, L.; Luo, X.; Yang, X.; Zhu, Y.; Wang, G.; Huang, W.; Zhang, D.; Zeng, Y.; Li, R.; Guo, C.; Wang, J.; Wu, Z.; Liu, N.; Zhang, G. Intraoperative Evaluation of Tumor Margins Using a TROP2 Near-Infrared Imaging Probe to Enable Human Breast-Conserving Surgery. Sci. Transl. Med. 2024, 16 (769), eado2461. https://doi.org/10.1126/scitranslmed.ado2461.

5.1.2 癫痫

本文开发了一种新型近红外荧光探针QXMC,用于检测乙酰胆碱酯酶(AChE)活性并研究其与癫痫的关系。探针具有高灵敏度、选择性和超快响应时间,可用于监测神经细胞和斑马鱼中AChE活性的波动。重要的是,QXMC具有出色的血脑屏障(BBB)通透性,首次通过非侵入性近红外体内成像发现了癫痫小鼠脑中AChE水平的下调。此外,还通过QXMC监测AChE实现了对癫痫治疗效果的可视化评估。该研究证明了QXMC作为一种有效的癫痫诊断、治疗评估和发病机制研究的成像工具具有巨大潜力。

Fan, L.; Wang, R.; Zan, Q.; Zhao, K.; Zhang, Y.; Huang, Y.; Yu, X.; Yang, Y.; Lu, W.; Shuang, S.; Yang, X.; Dong, C. A Near-Infrared Fluorescent Probe for Visualization of Acetylcholinesterase Flux in the Acute Epileptic Mice Brain. Chemical & Biomedical Imaging 2024, cbmi.4c00058. https://doi.org/10.1021/cbmi.4c00058.

5.1.3 胃癌

研究者们开发了一种基于钙钛矿量子点(PQDs)和肽配体的探针。利用阿奇霉素(AZI)修饰的CsPbBr3钙钛矿PQDs,结合CD44v6(一种胃癌生物标志物)的特异性多肽配体,制备了能够特异性识别胃癌肿瘤的基于钙钛矿的探针(AZI-PQDs探针)。由于CsPbBr3 PQDs具有较高的光致发光量子产率,因此在手持紫外光源的激发下,成像可以用肉眼观察到。AZI-PQDs探针能够准确识别胃癌细胞、组织和异种移植模型,通过离体和活体荧光成像检测实验。它还表现出低毒性和免疫原性,表明了探针的安全性。

5.2 疾病治疗

5.2.1 光动力

本文提出了一种利用可见光穿透器(VLP)和无线发光二极管(LEDs)进行深层光动力疗法的创新方法。该方法采用聚集诱导发射发光体(AIEgen)作为可见光穿透剂,克服了传统PDT中可见光穿透能力有限的问题。研究人员通过体内实验验证了该方法在组织深部治疗炎症扩散方面的有效性,证明了VLP负载的AIEgen TBPPM在3毫米厚组织中的透光率高达86%。该创新性的可见光穿透器有效解决了PDT在临床应用中的诸多限制,为光疗技术的进步提供了新的思路。

Hao, X.; Zhang, H.; Lian, Z. Sensitive Detection of Okadaic Acid in Marine Sediment Using Magnetic Imprinted Fluorescent Nanoprobe. Microchemical Journal 2024, 207, 111952. https://doi.org/10.1016/j.microc.2024.111952.

5.2.2 肺转移瘤

本文开发了一种新型的硼二氟化物福尔马赞(BFF)电子受体,用于构建具有出色NIR-II发射和化学稳定性的近红外二区(NIR-II)AIEgen。与PTQ和BBT相比,BFF具有更强的电子吸电子能力和化学稳定性。通过调节分子内运动和增强D-A相互作用强度,TPE-BFF同时表现出高摩尔消光系数、强NIR-II发射和光热效应,以及高稳定性。利用这些优点,研究人员成功构建了由TPE-BFF和抗糖酵解剂2-脱氧-d-葡萄糖(2DG)组成的热敏性纳米粒子,用于成像引导的光热抗肿瘤肺转移,通过调节糖酵解和减少ATP依赖性热休克蛋白实现治疗效果。结合实验结果和理论计算,BFF被证明是一种用于设计多功能NIR-II AIEgens的优秀电子受体。总体而言,这项研究为开发用于生物医学应用的多功能NIR-II AIEgens提供了有前景的替代方案。

6 新型荧光材料

6.1 其他

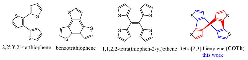
6.1.1 聚合物

研究团队成功合成了以马鞍形环辛四噻吩(COTh)为构建单元的新型噻吩基树枝状聚合物,包括二聚体(2COTh)、四聚体(4COTh)、五聚体(5COTh)和八聚体(8COTh)。所有COTh衍生物均表现出明显的AIE发射,并探讨了COTh单元数增加与AIE性质之间的关系。

Wang, P.; Zhao, C.; Qiu, S.; Xu, W.; Li, C.; Ma, Z.; Cao, W.; Xu, L.; Wang, H. All-Thiophene Dendrimers Based on Cyclooctatetrathiophene: Synthesis and Aggregation-Induced Emission (AIE) Features. Org. Chem. Front. 2024, 10.1039.D4QO01525H. https://doi.org/10.1039/D4QO01525H.