荧光爱好者周刊(第八期)
1 综述
1.1.1 RSS检测
本文综述了基于不同荧光团设计的荧光探针在检测食品和生物样品中的硫化物(HSO3-/SO32-、H2S、生物硫醇)方面的应用。这些荧光探针可用于各种光谱技术,实现对硫化物的选择性检测。该综述详细介绍了不同荧光探针的设计、检测原理和应用,并讨论了未来发展趋势。

Prabakaran, G.; Xiong, H. Unravelling the Recent Advancement in Fluorescent Probes for Detection against Reactive Sulfur Species (RSS) in Foodstuffs and Cell Imaging. Food Chemistry 2024, 141809. https://doi.org/10.1016/j.foodchem.2024.141809.
1.1.2 缺血再灌注损伤
本文综述了缺血再灌注损伤的病理生理机制以及荧光探针在研究缺血再灌注疾病中的应用进展。重点讨论了小分子荧光探针在肝脏、大脑、肾脏和心肌等不同组织器官缺血再灌注中的应用。此外,本文还深入探讨了荧光探针在缺血再灌注损伤研究中的发展方向,并展望了其在临床诊断和应用研究中的潜力。

Zhang, X.; Nouman, N. M.; Yin, C.; Huo, F. A Review of the Application of Small Organic Molecule Fluorescent Probes in Ischemia-Reperfusion Injury. Dyes and Pigments 2025, 233, 112524. https://doi.org/10.1016/j.dyepig.2024.112524.
1.1.3 气体信号分子检测
本文介绍了气体信号分子(GTs)如一氧化碳(CO)、氢硫化物(H2S)和一氧化氮(NO)在细胞信号通路中的重要作用。为了研究这些重要生物分子的功能,开发灵敏和特异性的检测方法至关重要。本文重点介绍了利用荧光探针检测GTs的研究进展,旨在为读者提供相关知识并促进该领域未来的发展。

Ali, R.; Ali, A.; Alvi, S. Fluorescent Probes for Gasotransmitters (H2S, CO, and NO) Detection. In Nanoscale Sensors and their Applications in Biomedical Imaging; Mohsin, Mohd., Soleja, N., Eds.; Springer Nature Singapore: Singapore, 2024; pp 157–176. https://doi.org/10.1007/978-981-97-3144-2_10.
1.1.4 过氧亚硝酸根检测
过氧亚硝酸根(ONOO-)作为一种重要的活性氮物种,在细胞氧化还原平衡、信号转导、细胞生长和代谢等生理过程中发挥着重要作用。细胞器在调节ONOO-水平中起关键作用,细胞器内ONOO-的失调与多种疾病密切相关。因此,监测细胞器内ONOO-的动态变化至关重要。
本文综述了自2018年以来报道的细胞器靶向ONOO-荧光探针的设计、传感机制和细胞器靶向成像应用。该综述有助于理解用于检测ONOO-的细胞器靶向荧光探针的发展。

Li, L.; Wang, C.; Hu, J.; Chen, W.-H. Recent Progress in Organelle-Targeting Fluorescent Probes for the Detection of Peroxynitrite. Chem. Commun. 2024, 10.1039.D4CC03452J. https://doi.org/10.1039/D4CC03452J.
2 检测型荧光材料
2.1 金属/阳离子
2.1.1 Hg2+
本文设计并合成了一种基于罗丹明B和四苯基卟啉的高选择性荧光传感器Por-RBO,用于检测Hg2+。该传感器在pH 5.0-8.0范围内对Hg2+具有高灵敏度,不受其他金属离子的干扰。通过荧光滴定法计算,Por-RBO对Hg2+的检测限为0.12 μmol/L。通过密度泛函理论计算,分析了Por-RBO和Por-RBO-Hg2+的几何结构、电荷分布、轨道相互作用和键合特性,探讨了识别机理和结构-荧光性质关系。细胞荧光成像和CCK-8实验结果表明,Por-RBO具有较低的细胞毒性,可用于活细胞中Hg2+的荧光分布成像。

Li, L.; Yao, Y.; Wang, X.; Yu, Y.; Ji, T.; Li, H.; Li, Y.; Liu, Y. A Novel Rhodamine‐Tetraphenylporphyrin Fluorescence Probe for Imaging Mercury In Vitro and In Vivo. Journal of Heterocyclic Chem 2024, jhet.4922. https://doi.org/10.1002/jhet.4922.
本文通过吡啶催化酯化反应,提高了纤维素的溶解性,并将其与BODIPY荧光聚合物结合,制备了具有AIE效应的纤维素荧光探针。该探针可溶于多种有机溶剂,并可形成薄膜和凝胶。探针利用BODIPY作为荧光团,CO作为Hg2+和Hg+的识别位点,对Hg2+和Hg+具有高灵敏度和选择性,检测限分别为50 nM和60 nM。该研究为纤维素的应用拓展和重金属离子的检测提供了新的思路。

Ma, Y.; Cheng, X. Cellulose-Based Fluorescent Film Probes for the Recognition and Removal of Hg2+/Hg+ Ions. International Journal of Biological Macromolecules 2024, 282, 136948. https://doi.org/10.1016/j.ijbiomac.2024.136948.
2.2 阴离子检测
2.2.1 SO32-/HSO3-
本文设计合成了一种新型的比色荧光双响应探针DCA-Ind,用于检测HSO3-/SO32-。DCA-Ind在DMF/PBS溶液中对HSO3-/SO32-具有较低的检测限(0.74 μM)和较强的荧光发射(748 nm),且具有较宽的pH适用范围(4-10)。理论计算表明,DCA-Ind通过分子内电荷转移(ICT)过程产生强荧光。与HSO3-/SO32-反应后,光诱导电子转移(PET)过程导致DCA-Ind的荧光猝灭。DCA-Ind可成功检测红酒和白糖中的HSO3-/SO32-,并可用于活细胞中HSO3-/SO32-的线粒体靶向荧光成像。

Zhong, K.; Li, Y.; Zhou, L.; Sun, X.; Tang, L.; Zhang, N.; Tang, Y. A Benzopyran-Hemicyanine-Based Mitochondria-Targeted NIR Fluorescent Probe for Detection of SO2 Derivatives in Food Samples and Living Cells. Microchemical Journal 2024, 207, 112037. https://doi.org/10.1016/j.microc.2024.112037.
2.2.2 B4O72-
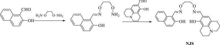
本文设计合成了一种新型的双通道荧光探针NJS,用于高效检测B4O72-离子。NJS探针在日光下与B4O72-离子混合时,溶液颜色明显变黄,与其他阴离子形成鲜明对比。荧光检测结果显示,随着B4O72-离子浓度的增加,NJS探针的荧光强度迅速增加。NJS探针对B4O72-离子的检测限为2.81 × 10-8 M,结合常数为2.20 × 104 M-1。核磁滴定和DFT计算表明,B4O72-离子与探针NJS结合后,探针被去质子化,触发ICT和FRET效应,导致荧光强度增加并红移,实现了对B4O72-离子的特异性识别。此外,NJS探针可用于棉签、纸测试和实际水样中的B4O72-离子定性和定量分析。

Zhang, Z.-X.; Zhang, H.-W.; Tuo, N.; Chai, Z.-L.; Wang, L.; Pu, L.-M.; Xu, W.-B.; Long, H.-T.; Dong, W.-K. A Novel yet Facile Colorimetric and Fluorescent Dual-Channel Salamo-Type Probe for Highly Effective Detection of B4O72− Ions in Real Water Samples and Its Application. Journal of Molecular Structure 2025, 1322, 140497. https://doi.org/10.1016/j.molstruc.2024.140497.
2.3 小分子检测
2.3.1 半胱氨酸
本文设计合成了一种新型的近红外荧光探针DCI-Th-Cys,用于检测半胱氨酸。该探针与半胱氨酸反应后,发射波长红移至670 nm,具有较大的斯托克斯位移和较高的灵敏度和选择性。DCI-Th-Cys可用于细胞和动物模型中半胱氨酸的成像,尤其适用于检测肾缺血再灌注损伤小鼠模型中肾脏的半胱氨酸水平升高。

Ge, C.; Pei, F.; Zhang, P.; Wang, X.; Jiang, X.; Chang, K.; Yang, Z. Based on D–π–A Structure of near-Infrared Turn-on Fluorescent Probe for Cysteine Imaging in Renal Ischemia–Reperfusion Injury in Mice. Journal of Photochemistry and Photobiology A: Chemistry 2025, 460, 116114. https://doi.org/10.1016/j.jphotochem.2024.116114.
2.3.2 氨基酸
本文设计了一种新型的D-组氨酸荧光探针(S)-1,基于1,1'-联-2-萘酚(BINOL)骨架。该探针对D-组氨酸表现出优异的化学选择性和对映选择性,检测限低至4.896 nM。此外,(S)-1具有低细胞毒性和良好的生物相容性,可用于活细胞中D-组氨酸的荧光成像。NMR分析和理论计算证实了反应产物并阐明了识别机制。据我们所知,(S)-1是第一个基于BINOL的用于特异性检测20种常见氨基酸中的D-组氨酸的荧光探针。这些发现为开发靶向氨基酸的手性荧光探针提供了重要基础。

Huang, J.; Li, C.; Zhang, P.; Fan, C.; Yu, X.; Jiang, Q.; Chi, W.; Shu, W.; Dong, Q.; Zeng, C. A Chemoselective and Enantioselective Fluorescent Probe for D-Histidine in Aqueous Solution and Living Cells. Sensors and Actuators B: Chemical 2025, 423, 136861. https://doi.org/10.1016/j.snb.2024.136861.
2.3.3 单线态氧
本文提出了一种基于壳聚糖-铕杂化材料的水溶性单线态氧(1O2)传感器。该传感器具有良好的水溶性和生物相容性,能够在生理pH条件下高效检测1O2,并产生特征性的Eu3+发射峰(611 nm),其发射强度可增加15倍,衰减时间为332 μs。由于其长衰减时间,该传感器适用于时间门控测量,具有潜在的生物应用前景。

Dinga, D. K.; Khokh, A.; Kynast, U. H. Water-Soluble Chitosan–Europium Hybrid Sensor for Singlet Oxygen Detection. Langmuir 2024, 40 (44), 23252–23258. https://doi.org/10.1021/acs.langmuir.4c02544.
2.3.4 NO
本文设计合成了一种新型的线粒体靶向“开启型”近红外荧光探针Cy-OMe,用于检测NO。Cy-OMe在与NO反应后,通过N-亚硝化反应产生强烈的近红外荧光信号。该探针具有高灵敏度和特异性,可用于检测细胞内NO的动态变化。此外,Cy-OMe可靶向线粒体,并用于评估LPS刺激的IBD小鼠模型中肠道炎症的动态变化。Cy-OMe在高对比度成像和精确诊断肠道炎症疾病方面具有潜力。

Liu, J.; Chen, X.; Wang, A.; Su, D. A Mitochondria-Targeted Nitric Oxide Probe with Large Stokes Shift for Real-Time Imaging and Evaluation of Inflammatory Bowel Disease in Situ. Analytica Chimica Acta 2024, 1332, 343372. https://doi.org/10.1016/j.aca.2024.343372.
2.3.5 H2S
本文通过密度泛函理论和时间相关密度泛函理论对三种比率型1,8-萘酰亚胺荧光探针进行了理论研究。通过比较优化后的几何结构,发现取代基的变化对1,8-萘酰亚胺荧光团的结构影响较小,主要影响的是与取代基相连的部分。取代基的吸电子或供电子能力的变化对电子光谱产生影响。通过分析前线分子轨道,发现三种探针及其产物都存在分子内电荷转移过程。最后,分析了最高占据分子轨道和最低未占据分子轨道之间的能隙。该研究为实验结果提供了理论解释,有助于未来新型荧光探针的开发。

Huang, A.; Zhou, Y.; Liang, Y.; Liu, Q.; Hao, W.; Xia, Z.; Wu, D.; He, H. Theoretical Study of Three Ratiometric 1,8-Naphthalimide Fluorescent Probes for Hydrogen Sulfide Detection. J Fluoresc 2024. https://doi.org/10.1007/s10895-024-03990-5.
本文开发了一种新型的H2S激活型近红外余辉发光纳米探针L-T NPs,用于检测H2S。该探针具有超长的半衰期(t1/2 = 2.7 h),通过高效的化学发光共振能量转移(CRET)过程,在H2S存在下发出高信噪比的近红外余辉信号。L-T NPs能够准确区分炎症组织和正常组织,并用于监测对乙酰氨基酚(APAP)诱导的肝毒性小鼠模型中H2S水平的变化。该研究为研究H2S在生物医学领域的生理病理作用提供了一种有前景的工具。

Zhang, H.; Lv, C.; Liu, W.; Yang, M.; Du, J.; Fan, J.; Peng, X. An Activatable Near-Infrared Afterglow Luminescent Nanoprobe with Ultralong Half-Life for in Vivo H2S Imaging. Chemical Engineering Journal 2024, 157086. https://doi.org/10.1016/j.cej.2024.157086.
本文报道了一种新型的近红外荧光探针DCIQ-2DNP,用于检测H2S。该探针通过二硝基苯醚的硫解反应和DNP标记的缺电子季碳的结合,实现了对H2S的快速响应和高灵敏度检测。DCIQ-2DNP在与H2S反应后,产生近红外发射信号(740 nm),具有较大的斯托克斯位移(128 nm),可用于食品样品和活细胞中H2S的快速监测。

Ma, L.; Yang, Y.; Anwar, G.; Xie, M.; Yang, J.; Yan, J.; Wu, J.; Liu, C. A Unique Near-Infrared Fluorescent Probe Based on Dual-DNP Binding Sites for Rapid Monitoring of Hydrogen Sulfide in Food Samples and Living Cells. Chem. Commun. 2024, 10.1039.D4CC05081A. https://doi.org/10.1039/D4CC05081A.
2.3.6 硫醇
本文设计合成了一种新型的线粒体靶向比率荧光探针1,用于检测生物硫醇(Cys、Hcy和GSH)。探针1在与生物硫醇反应后,通过点击化学反应引起结构变化,导致吸收和发射光谱发生蓝移,并伴随颜色变化。探针1对生物硫醇具有高灵敏度、高选择性和快速响应。此外,探针1可靶向线粒体,实现对细胞内生物硫醇的双通道荧光成像。

Ren, A.; Qiao, L.; Li, K.; Zhu, D.; Zhang, Y. Mitochondria-Targeted NIR Ratiometric and Colorimetric Fluorescent Probe for Biothiols Based on a Thiol–Chromene Click Reaction. Anal. Chem. 2024, 96 (44), 17773–17780. https://doi.org/10.1021/acs.analchem.4c04119.
2.3.7 四环素
本文开发了一种基于镧系金属有机框架(Ln-MOF)的荧光传感器,用于高精度检测四环素类抗生素。通过调节镧系离子比例,制备了具有良好水稳定性的Eu-MOF、Tb-MOF和Eu(1.4 μM)-Tb-MOF。这些Ln-MOF对氧四环素(OTC)和多西环素(DOX)具有高灵敏度和选择性,检测限分别为8.6 nM和4.8 nM。特别是,Eu(1.4 μM)-Tb-MOF与智能手机结合,实现对OTC和DOX的视觉检测,检测限分别为9.8 nM和14.2 nM。此外,Ln-MOF还可用于指纹识别,具有潜在的刑侦应用。该研究通过实验和密度泛函理论(DFT)计算,揭示了镧系金属离子配位和光诱导电子转移(PET)机制在实现高选择性和准确性检测中的作用。

Sun, Y.-X.; Ji, B.-T.; Chen, J.-H.; Liu, L.-P.; Gao, L.-L.; Deng, Z.-P.; Sun, Y.; Wang, J.-J.; Zhao, B.; Li, J.-G. A Smartphone-Integrated Bimetallic Ratiometric Fluorescent Probe for Specific Visual Detection of Tetracycline Antibiotics in Food Samples and Latent Fingerprinting. Food Chemistry 2025, 464, 141782. https://doi.org/10.1016/j.foodchem.2024.141782.
2.4 大分子检测
2.4.1 β-半乳糖苷酶
本文开发了一种基于三氰呋喃结构的荧光探针TCF-GAL,用于检测β-半乳糖苷酶(β-Gal)。该探针对β-Gal具有良好的选择性和灵敏度,检测限为1.45 × 10-4 U/mL。TCF-GAL可用于成像活细胞中的内源性β-Gal,并成功应用于监测卵巢癌小鼠模型中的β-Gal。这些结果表明,该探针具有诊断β-Gal相关疾病的巨大潜力。

Jiang, W.; Liu, H.; Zhang, J.; Yang, J.; Wang, P. A NIR Fluorescent Probe Based on Tricyanofuran for the Detection of β-Galactosidase in Living Ovarian Tumor Cells and in Vivo. Bioorganic Chemistry 2024, 153, 107926. https://doi.org/10.1016/j.bioorg.2024.107926.
2.4.2 G四链体
本文设计合成了一种新型的近红外荧光探针4a,该探针对人端粒G-四链体具有高选择性和高灵敏度。与商业化四链体探针噻唑橙相比,4a对单链和双链结构的选择性更高。分子对接研究表明,4a通过π-π堆积和阴离子-π相互作用与G-四链体结合。4a具有良好的细胞渗透性和生物相容性,可用于活细胞中G-四链体的荧光成像,为研究G-四链体的生物学功能提供了新的工具

Parveen, S.; Chaurasia, N.; Gupta, S.; Vidyarthi, S.; Gupta, N.; Pandey, P.; Pant, B.; Srivastava, K. R.; Kumar, N.; Goel, A. Rationally Designed G-Quadruplex Selective “Turn-On” NIR Fluorescent Probe with Large Stokes Shift for Nucleic Acid Research-Based Applications. ACS Appl. Bio Mater. 2024, acsabm.4c00940. https://doi.org/10.1021/acsabm.4c00940.
2.4.3 新冠病毒RNA
本文研究了基于沸石咪唑酯框架-8(ZIF-8)的荧光生物传感器用于快速、准确检测新冠病毒RNA。ZIF-8表现出优异的荧光猝灭性能,对探针DNA具有较高的吸附能力,形成P-DNA@ZIF-8复合物。该生物传感平台对新冠病毒RNA具有高灵敏度,检测限低至6.24 pM,检测时间仅需8分钟,且对新冠病毒RNA具有高选择性。实验结果表明,ZIF-8作为一种新型生物传感器,具有快速、灵敏检测新冠病毒的潜力。

Elgazar, A.; Sabouni, R.; Ghommem, M.; Majdalawieh, A. F. Novel Metal–Organic Framework Biosensing Platform for Detection of COVID-19 RNA. Sci Rep 2024, 14 (1), 25437. https://doi.org/10.1038/s41598-024-75668-8.
2.4.4 癌胚抗原
本研究开发了一种新型的无标记荧光适体传感器,该传感器利用聚集诱导发光增强效应,实现了对癌胚抗原(CEA)的高灵敏度检测。该传感器具有检测机制简单、操作方便、灵敏度高(检测限低至1 pg/mL)、选择性好、线性范围宽(0.003-10 ng/mL)等优点。此外,该传感器可直接用于人血清中CEA的测定。

Lu, Y.; Wang, M.; Yang, Y.; Tang, Q.; Zeng, Y.; Wang, H.; Zhang, L.; Pan, C.; Hu, C.; Fu, Z.; Li, L. Detecting Carcinoembryonic Antigen Based on the Aggregation-Induced Emission Enhancement Effect. Chem. Commun. 2024, 10.1039.D4CC04544K. https://doi.org/10.1039/D4CC04544K.
本文提出了一种基于锌基金属有机框架(MOF)和ZIF-8@PDA之间的电化学发光-共振能量转移(ECL-RET)的高灵敏度电化学发光免疫传感器,用于检测癌胚抗原(CEA)。该传感器具有较高的灵敏度和选择性,为CEA的快速、准确检测提供了一种新方法。

Li, Y.; Cheng, Y.; Ren, H.; Ji, T.; Zhao, Z.; Li, H.; Hong, C. A Sensitive Electrochemiluminescence Immunosensor for CEA Detection Based on the ECL-RET between Zinc-Based Metal–Organic Frameworks and ZiF-8@PDA. Bioelectrochemistry 2025, 161, 108843. https://doi.org/10.1016/j.bioelechem.2024.108843.
2.5 多重检测
2.5.1 Co2+和Cr2O72-
本文设计合成了一种新型的钙杂[4]三氮杂冠醚衍生的荧光传感器AntUr-AzClx,用于选择性检测Co2+和Cr2O72-离子。AntUr-AzClx对Co2+离子表现出荧光增强,对Cr2O72-离子表现出荧光猝灭。该传感器对这两种离子具有高灵敏度和选择性,检测限分别为0.142 μmol L-1和4.182 nmol L-1。此外,AntUr-AzClx可用于实际样品中Co2+和Cr2O72-离子的检测。

Sayin, S. Novel Anthracene‐Appended Calix[4]Triazacrown‐5 as an Effective Fluorescence Probe for Co 2+ and Hazardous Cr 2 O 7 2− Ions. Luminescence 2024, 39 (10), e4920. https://doi.org/10.1002/bio.4920.
2.5.2 Ni2+和赖氨酸
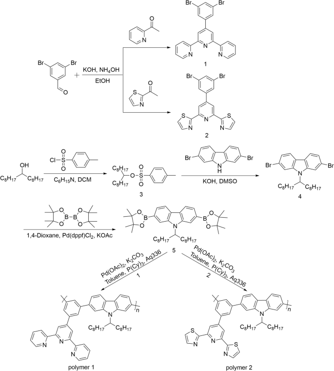
本文通过Suzuki偶联反应合成了两种新型的基于三杂环体系和咔唑的共轭聚合物。聚合物1和聚合物2分别以4'-(3,5-二溴苯基)-2,2':6',2''-三吡啶和2,2'-(4-(3,5-二溴苯基)吡啶-2,6-二基)二噻唑作为识别单元。这两种聚合物在THF溶液中表现出蓝紫色荧光。研究了聚合物对阴离子和金属离子的识别能力。发现I-不仅猝灭了荧光,还发生了红移。Ni2+有效地猝灭了聚合物的荧光,其中聚合物2对Ni2+具有更高的特异性。紫外-可见吸收滴定实验表明,Ni2+与聚合物形成了络合物。此外,利用Ni2+与聚合物形成的络合物,可以检测氨基酸,发现赖氨酸可以恢复[聚合物1-Ni2+]和[聚合物2-Ni2+]的荧光,恢复率为99%。

Chen, Y.; Feng, Y.; Luo, H.; Chen, X.; Lei, H.; Feng, J.; Liu, K. Conjugated Polymers Based on Carbazole and Tridentate Ligands as the “On-Off-On” Fluorescent Probes for Detection of Ni (II) Ion and Lysine. J Fluoresc 2024. https://doi.org/10.1007/s10895-024-03997-y.
3 成像型荧光材料
3.1 微环境成像
3.1.1 温度
本文开发了一种基于四苯乙烯功能化荧光团(TPPEBr)和温度响应性聚合物N-异丙基丙烯酰胺(NIPAM)的荧光聚合物纳米温度计PNIPAM-TPPEBr。该纳米温度计利用TPPEBr的AIE效应和NIPAM的温度响应性,实现了对温度变化的灵敏响应。随着温度升高,PNIPAM发生相变,导致TPPEBr荧光增强和蓝移。该纳米温度计可以在生理温度范围内(31-38°C)对温度变化进行灵敏响应,最大相对热灵敏度达到13.2% °C-1。此外,该纳米温度计可用于A549细胞的温度成像,监测细胞在离子霉素和氧化磷酸化抑制剂刺激下的温度变化。

Yin, N.; Wang, X.; Shu, Y.; Wang, J. A “Turn-on” Polymer Nanothermometer Based on Aggregation Induced Emission for Intracellular Temperature Sensing. Journal of Colloid and Interface Science 2025, 679, 519–528. https://doi.org/10.1016/j.jcis.2024.10.134.
3.2 细胞器成像
3.2.1 线粒体
本文设计并合成了一系列基于铱(III)金属有机配合物和锡(IV)羧酸盐席夫碱的AIE活性配合物。这些配合物在高浓度溶液或聚集态下表现出AIE效应,有助于研究其亚细胞组织靶向(线粒体)和细胞形态。与单一的铱(III)金属有机配合物和锡(IV)羧酸盐相比,这些配合物对A549细胞表现出更好的体外抗增殖活性,并对A549/DDP(顺铂耐药)细胞也表现出较好的活性。此外,这些配合物还显示出线粒体凋亡途径。因此,这些配合物有潜力作为铂基药物的替代品,并具有进一步的应用前景。

Liu, X.; Sun, Y.; Gao, Y.; Zhang, X.; Li, X.; Zheng, W.; Liu, M.; Zhao, T.; Yuan, X.-A.; Yue, M.; Liu, Z. Anticancer Behavior of Cyclometallated Iridium(III)-Tributyltin(IV) Carboxylate Schiff Base Complexes with Aggregation-Induced Emission. Journal of Inorganic Biochemistry 2025, 262, 112767. https://doi.org/10.1016/j.jinorgbio.2024.112767.
3.2.2 细胞膜
本文开发了一种新型的极性响应型荧光探针,用于比率检测细胞膜完整性。该探针能够靶向健康细胞的完整质膜,并在质膜损伤后重新定位到细胞质中,产生显著的红移荧光。分子模拟表明,探针的高跨膜屏障和两亲性是其靶向能力的原因。该探针首次实现了晚期细胞凋亡的比率检测,并可用于可视化由紫外线照射、毒素和抗肿瘤药物诱导的肿瘤细胞膜损伤。此外,该探针还可用于评估甲醛对膜完整性的影响,并证明了半胱氨酸可作为一种潜在的解毒剂对抗甲醛的毒性。

Sun, F.; Dong, B.; Zhang, H.; Tian, M. Permeability-Controlled Probe for Ratiometric Detection of Plasma Membrane Integrity and Late Apoptosis. ACS Sens. 2024, acssensors.4c01963. https://doi.org/10.1021/acssensors.4c01963.
4 功能型荧光材料
4.1 功能材料
4.1.1 机械力发光
本文报道了一对具有完全相反机械荧光活性的手性AIE对映体S-ETMPB和R-ETMPB。R-ETMPB表现出可逆的开启型机械荧光,量子产率显著提高,而S-ETMPB表现出可逆的关闭型机械荧光。晶体与非晶相之间的可逆物理转变是导致不同机械荧光行为的原因。此外,两种对映体都具有聚集诱导发射的特性。随着水含量的增加,S-ETMPB和R-ETMPB的荧光量子产率分别从0.56%和0.86%显著提高到最大值18.89%和23.61%,AIE因子分别约为33.7和27.5。

Hua, P.-P.; Xu, J.-W.; Li, J.-F.; Fu, Y.-L.; Wang, J.-W.; Zhang, L.-F. Mechano-Responsive Fluorescent AIE Enantiomers with High Contrast Properties. Journal of Luminescence 2025, 277, 120963. https://doi.org/10.1016/j.jlumin.2024.120963.
4.2 光电显示
4.2.1 OLED
本文通过不对称引入联苯和三苯胺单元到芘的1位和3位,合成了一系列具有窄带发射的芘基蓝色发光材料。这些材料具有AIE特性和较高的荧光量子产率,在晶体状态下表现出较窄的半峰全宽(FWHM)。在非掺杂OLED中,这些材料表现出蓝光发射,最大发射波长在448-453 nm之间,CIEy ≤ 0.12。在掺杂OLED中,这些材料表现出蓝光发射,最大发射波长在443-445 nm之间,CIEy ≤ 0.08,FWHM为57-61 nm。其中,基于化合物10的掺杂OLED表现出优异的电致发光性能,最大亮度为9756 cd m-2,最大外量子效率为2.58%。

Liu, W.; Jin, P.; Zhang, S.; Wang, X.; Xie, Z.; Xiao, Y.; Hu, J.; Redshaw, C.; Feng, X. Narrow‐Band Emission of Asymmetric 1,3‐Substituted Pyrene‐Based Deep‐Blue Emitters and Application in OLEDs. Advanced Optical Materials 2024, 2402090. https://doi.org/10.1002/adom.202402090.
4.3 体外诊断
4.3.1 免疫层析
本文提出了一种通过在测试线上涂覆链霉亲和素并使用双功能抗原-蛋白偶联物来增强侧流免疫分析通用性的策略。该策略显著提高了对黄曲霉毒素B1(AFB1)、多菌灵(CBZ)和恩诺沙星(ENR)的检测灵敏度,同时大幅减少了抗原-蛋白偶联物的消耗。该方法为小分子危害物的灵敏检测提供了一种有前景的途径。

Chen, J.; Zhang, G.; Xiao, X.; Liu, D.; Peng, J.; Xiong, Y.; Lai, W. Bifunctional Bovine Serum Albumin Modification Driven Sensitivity-Enhanced Lateral Flow Immunoassay for Small Molecule Hazards Monitoring in Food. International Journal of Biological Macromolecules 2024, 282, 136915. https://doi.org/10.1016/j.ijbiomac.2024.136915.
5 诊疗型荧光材料
5.1 疾病诊断
5.1.1 肝纤维化
本文开发了一种新型的ER靶向粘度响应型近红外荧光探针HBT-PP,用于研究肝纤维化的发病机制。HBT-PP结合了TICT和ESIPT机制,对粘度变化具有高度敏感性,并具有超大的斯托克斯位移。HBT-PP主要靶向内质网,可用于成像药物或酒精诱导的细胞内粘度升高。此外,HBT-PP还可用于可视化肝纤维化的性别差异和雌激素的保护作用。该探针在10分钟内即可显示出肝纤维化病变的分期响应,为快速早期诊断肝纤维化提供了潜力。HBT-PP有望成为探索ER粘度参与的生理和病理过程的新工具。

Liu, Z.; Zhang, C.; Li, Z.; Ma, W.; Liu, J.; Xia, X.; Xu, N.; Sun, W.; Du, J.; Fan, J.; Peng, X. Visualization of the Protective Role of Estrogen against Female Liver Fibrosis via an ER Viscosity NIR Fluorescent Probe. Sci. China Chem. 2024. https://doi.org/10.1007/s11426-024-2061-7.
5.1.2 动脉粥样硬化
本文设计了一种新型的协同激活探针Cbz-Lys-Lys-TPEB,用于特异性识别和成像动脉粥样硬化斑块中的脂质。该探针具有良好的水溶性和荧光猝灭特性。在与H2O2和CTB相互作用后,探针被特异性切割,释放出具有AIE性质的疏水性荧光团,从而实现对脂质的精准成像。该研究为可靠、准确地识别动脉粥样硬化斑块提供了新的方法,具有重要的临床诊断和风险分层应用潜力。

Li, J.; Miao, Y.; Wang, K.; Pan, W.; Li, N.; Tang, B. Synergistically Activated Aggregation-Induced Emission Probe for Precise In Situ Staining of Lipids in Atherosclerotic Plaques. Anal. Chem. 2024, 96 (44), 17868–17878. https://doi.org/10.1021/acs.analchem.4c04559.
5.2 治疗型荧光材料
5.2.1 光动力
本文报道了一种新型的AIE荧光分子Naph-BODIPY Br2,其在聚集状态下表现出较强的单线态氧生成能力。通过对Naph-BODIPY Br2进行纳米聚集,可以进一步红移吸收光谱,提高单线态氧的量子产率。该纳米聚集体在水溶液中表现出优异的单线态氧生成能力,对癌细胞具有较高的光毒性,且几乎无暗毒性。因此,该纳米聚集体有潜力作为一种高效的光敏剂用于光动力治疗。

Mishra, S.; Shelar, S. B.; Rout, S.; Hassan, P. A.; Barick, K. C.; Agarwal, N. Enhanced Singlet Oxygen Generation in Aggregates of Naphthalene-Fused BODIPY and Its Application in Photodynamic Therapy. ACS Appl. Bio Mater. 2024, acsabm.4c00804. https://doi.org/10.1021/acsabm.4c00804.