Skip to content

荧光爱好者周刊(第二十期)

image.png

1 检测型荧光材料

1.1 金属/阳离子检测

1.1.1 Fe 3+

Fluorescein-Modified Carbon Dioxide-Based Polycarbonate as a Biocompatible Fluorescent Probe for Detecting Ferric Ions and Intracellular Imaging

为了应对铁离子(Fe 3+)荧光探针选择性高、灵敏度高以及生物相容性高的挑战,研究团队设计并合成了一种新型绿色荧光聚碳酸酯(PPCF),利用二氧化碳和环氧化物,并结合荧光基团。这种聚合物荧光探针具有极高的选择性,可检测 Fe 3+,且几乎不受其他常见离子的干扰。其荧光强度与 Fe 3+ 浓度在 20–200 μM 范围内呈稳健的线性相关性,可以进行定量分析。此外,由 Fe 3+ 引起的荧光猝灭效应使其检测限达到 262 nM,与现有用于 Fe 3+ 检测的荧光探针相比具有竞争优势。CCK-8 实验表明,PPCF 4 在较高浓度下具有很高的安全性阈值,并且表现出良好的生物相容性,这对于体内 Fe 3+ 检测非常重要。还成功对 HeLa 细胞内的 Fe 3+ 进行了荧光成像。这项研究为开发可用于检测 Fe 3+ 并对细胞环境内的 Fe 3+ 进行荧光成像的荧光探针提供了一种环境可持续且有效的方法。

image.png

Wang, W.; Chen, H.; Xia, L.; Huang, Q.; Wang, Q.; Xue, D.; Du, C.; Zhao, C.; Li, H.; Liu, Y. Fluorescein-Modified Carbon Dioxide-Based Polycarbonate as a Biocompatible Fluorescent Probe for Detecting Ferric Ions and Intracellular Imaging. ACS Appl. Polym. Mater. 2025, 7 (1), 83–93. https://doi.org/10.1021/acsapm.4c02679.

1.1.2 Cu2+

A cysteine functionalized (Al) MOF-based multifunctional probe for the highly selective dual-responsive chemosensing and simultaneous removal of Cu2+ ions

铜是一种有问题的内分泌干扰性阳离子污染物,已成为人类健康和环境的主要威胁。目前,定量测定 Cu 2+ 在食品监控和环境保护中具有重要意义。传统的分析方法成本高、繁琐且复杂。在此,基于废物衍生荧光 NH 2-MIL-53 (Al) 框架的可持续合成,开发了一种快速且高度选择性的复杂环境样品中 Cu 2+ 测定方法,该框架具有高表面积,作为负载 L 的功率底物用于设计新型 NH 2-MIL-53 (Al)-Cys 探针的半胱氨酸。该荧光探针使用包括 FE-SEM、XPS、PXRD、FTIR 等多项分析技术进行了进一步表征。开发的荧光探针展示了多功能特性,促进了 Cu 2+ 的可视和荧光监测,具有显着的灵敏度和快速的响应时间。氟浊度化学传感器在存在 Cu 2+ 离子时产生了猝灭的荧光响应 (λem = 455 nm) 和样品浊度的明显变化。发现获得的 Cu 2+ 离子的检测限为 LOD 为 0.001 mg/L (15.8 nM),远低于 WHO 建议的饮用水中值 (31 µM)。开发的传感器的稳健性也通过对实际样品中 Cu 2+ 离子的选择性和灵敏检测得到验证。此外,开发的探针具有优异的吸附性能,吸附容量高达 591.71 mg/g,促进了从环境样品中去除 Cu 2+ 离子。因此,结果突出了 NH 2-MIL-53 (Al)-Cys 探针在传感应用中的巨大潜力。

image.png

Sharma, S.; Kaur, G.; Bhardwaj, N.; Nayak, M. K.; Deep, A. A Cysteine Functionalized (Al) MOF-Based Multifunctional Probe for the Highly Selective Dual-Responsive Chemosensing and Simultaneous Removal of Cu2+ Ions. Journal of Environmental Chemical Engineering 2025, 13 (1), 115209. https://doi.org/10.1016/j.jece.2024.115209.

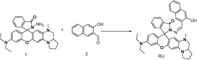
1.1.3 UO₂2⁺

A novel xanthene-based NIR fluorescent probe for the high-sensitivity detection of UO₂2⁺ in the blood from mice eyeballs

UO₂2⁺放射毒性和化学毒性通过生物富集和生物放大对生态系统和人类健康构成长期威胁。因此,迫切需要开发对 UO₂2⁺高度灵敏和选择性的检测方法。在此,我们开发了一种近红外(NIR)荧光探针 RU,建立在氧杂蒽核心结构上。与 UO₂2⁺结合后,RU 经历开环,触发荧光开启。RU 对 UO₂2⁺表现出高选择性、灵敏性和快速响应。此外,我们首次成功利用 RU 可视化小鼠眼球血液中的 UO₂2⁺,为研究其在生命系统中的生物行为和毒性提供了有价值的方法。

image.png

Shang, J.; Su, L.; Li, L.; Yu, X.; Yang, Y.; Wang, C.; Wang, J.; Zhang, X.; Gui, Y.; Liu, W.; Xia, Y.; Shu, X.; Zhang, Y. A Novel Xanthene-Based NIR Fluorescent Probe for the High-Sensitivity Detection of UO₂2+ in the Blood from Mice Eyeballs. Dyes and Pigments 2025, 235, 112618. https://doi.org/10.1016/j.dyepig.2024.112618.

1.1.4 Hg 2+/Cu 2+

Instant detection of environment pollutants (Hg 2+/Cu 2+) in water and food samples using pyrene-based chemosensor, and its bio imaging applications

针对水体重金属污染对人体健康和水生生态系统带来的巨大威胁,亟需开发现场快速监测重金属离子的传感器。本文提出一种基于芘的席夫碱(PYSC)作为一种双重化学传感探针,用于检测重金属。在半水相介质中,PYSC 探针在吸收和荧光光谱技术中对 Hg 2+ 和 Cu 2+ 离子表现出显着的选择性,并在高浓度其他干扰离子(如 Pb 2+、Cd 2+、Zn 2+、Ni 2+、Co 2+、Mn 2+、Fe 2+、Cr 3+、Ag+ 等)存在下识别 Hg 2+ 和 Cu 2+ 离子。PYSC 传感的原理为聚集诱导络合,导致荧光红移。针对 Hg 2+ 和 Cu 2+,PYSC 化学传感器具有良好的线性关系,对 Cu 2+ 和 Hg 2+ 离子的检测限分别低至 3 nM 和 15 nM。PYSC 的光子学和分析性能被用于 Hg 2+ 和 Cu 2+ 离子的细胞内成像,以及水和食品样品中 Hg 2+ 和 Cu 2+ 离子的快速比色检测,并具有足够的可靠性。因此,PYSC 化学传感器可作为食品和环境水样中 Hg 2+ 和 Cu 2+ 离子快速测定的备选检测工具。

image.png

Murugan, A. S.; Balamurugan, T. S. T.; Annaraj, J.; Kathiresan, S. Instant Detection of Environment Pollutants (Hg 2+/Cu 2+) in Water and Food Samples Using Pyrene-Based Chemosensor, and Its Bio Imaging Applications. Journal of Molecular Liquids 2025, 419, 126785. https://doi.org/10.1016/j.molliq.2024.126785.

1.2 阴离子检测

1.2.1 CrO42− and Cr2O72−

A simple, highly selective ferrocene-based chalcone fluorescent probe for the detection of CrO42− and Cr2O72− ions

六价铬(Cr(VI))是水体常见的污染物,被广泛用于电镀铝制品、制造油漆、皮革鞣制等工业生产中。Cr(VI)属于经吸入,经口中毒品,可经消化道、呼吸道、皮肤黏膜进入体内,皮肤接触后可能出现皮炎或过敏现象,鉴于 Cr(VI)对人体存在的危害性,开发可同时检测环境中两种价态 Cr(VI)的探针对环境监测具有迫切需求。本研究采用绿色合成方法,以乙酰基二茂铁、邻羟基苯甲醛为原料,I 2 为催化剂首次通过固相研磨合成了 1-二茂铁基-3-(2-羟基苯基) 烯丙酮(探针 A)。通过紫外光谱和荧光光谱发现,1-二茂铁基-3-(2-羟基苯基) 烯丙酮对 Cr 2 O 72−和 CrO 42−具有特异性识别能力,且在复杂体系条件下抗干扰性能较好。此外,通过紫外滴定实验测定,1-二茂铁基-3-(2-羟基苯基) 烯丙酮与 Cr 2 O 72−和 CrO 42−的结合比、结合常数以及检出限分别为 1∶1 和 3∶2、5.1330×106 M−1 和 5.7048×104 M−1、1.6714×10−4 M、1.7246×10−4 M。研究了 pH 值和时间对 1-二茂铁基-3-(2-羟基苯基) 烯丙酮识别离子的影响。在 80 min 内探针结构稳定,可以对 CrO 42−和 Cr 2 O 72−进行稳定识别;当溶液 pH 为 7~8 时,探针 A 对 Cr 2 O 72−和 CrO 42−离子的识别效果最佳。通过红外及核磁滴定获得了 1-二茂铁基-3-(2-羟基苯基) 烯丙酮与 Cr 2 O 72−、CrO 42−的传感机理。并开展了试纸测试实验,观察到随着浓度的增高,试纸颜色有明显变化,可用于“肉眼”识别,该方法可更加便捷快速的检测 Cr(VI)溶液。

image.png

Liu, Y.; Zhang, Z.; Yin, D.; Huang, Y.; Zheng, R.; Zhou, Y.; Chen, J.; Dang, C. A Simple, Highly Selective Ferrocene-Based Chalcone Fluorescent Probe for the Detection of CrO42− and Cr2O72− Ions. Journal of Organometallic Chemistry 2025, 1026, 123489. https://doi.org/10.1016/j.jorganchem.2024.123489.

1.3 小分子检测

1.3.1 茶多酚

这篇文章介绍了一种基于芘的聚酰亚胺(Py-PI)荧光聚合物的合成及其在茶多酚(TP)检测中的应用。研究人员通过一步缩合共聚反应合成了这种聚酰亚胺,并利用其优异的溶解性和光致发光特性,将其用作溶液中 TP 检测的荧光探针。此外,通过静电纺丝法制备了不同形态的 Py-PI 荧光测试纸。当纺丝溶液浓度为 15 wt%时,珠状多孔聚合物静电纺丝膜表现出优异的表面润湿性,使水滴在 6 分钟内完全渗透到样品中。在 Py-PI 测试纸上,5 × 10⁻⁶ mg/mL TP 溶液的荧光增强现象可以观察到。此外,测试纸对 pH 的干扰研究表明,样品在酸性条件下表现出相对稳定的荧光“开启”响应。

image.png

Yi, C.; Xu, C.; Zhao, X.; Wang, C.; Xiang, H. Synthesis of the Fluorescent Polymer Containing Pyrene and Its Application in the Detection of Tea Polyphenol. Polymer Engineering & Sci 2024, pen.27052. https://doi.org/10.1002/pen.27052.

1.3.2 四环素

Zinc ions-modified trypsin nanoparticles as fluorescent probe for rapid detection of tetracyclines antibiotics

四环素类抗生素(TCs)是针对细菌感染最常见的抗生素之一,TCs 的滥用已成为影响人类健康的一大社会问题。在此,我们报道了一种发射峰于 445 nm 的胰蛋白酶纳米颗粒 (Try NPs),并进一步通过 Zn 2+ 离子修饰 Try NPs 制备了 Try NPs-Zn 2+ 复合物。更重要的是,Try NPs-Zn 2+ 在 30 秒内在 525 nm 处对包括四环素、土霉素和金霉素在内的多种 TCs 抗生素表现出明显的荧光响应,激发波长为 360 nm,这可用于 TCs 抗生素的快速检测。

image.png

Pang, S.; Zhao, Y.; Xu, L.; Wu, J. Zinc Ions-Modified Trypsin Nanoparticles as Fluorescent Probe for Rapid Detection of Tetracyclines Antibiotics. Spectroscopy Letters 2024, 1–13. https://doi.org/10.1080/00387010.2024.2445698.

1.3.3 生物胺

Development of Sensitive R6G/AuNCs Ratiometric Fluorescent Probes for the Detection of Biogenic Amines in Fish Products

生物胺(BAs)由鱼类和海鲜中的微生物产生,会带来重大的健康风险。本研究介绍了一种新型比率荧光探针,该探针通过整合罗丹明 6 G (R 6 G) 和金纳米粒子 (AuNCs) 合成而来,用于灵敏特异检测 BAs。该探针基于由二胺氧化酶催化的 BAs 水解产生过氧化氢 (H 2 O 2) 的原理,H 2 O 2 选择性淬灭 AuNCs 在 620 nm 处的荧光,而 R 6 G 在 553 nm 处的荧光不受影响。I 620/I 553 的比率与较宽的动态范围 (1–1000 μM) 呈优秀线性,检测限低至 0.1 μM。使用草鱼样本验证的结果显示,该探针具有较高的回收率 (97.57% 至 104.29%),证实了该探针在食品安全监测中的效用和实际应用潜力。

image.png

Huang, Y.; Zhang, S.; Zhou, M.; Xu, X.; Sun, W.; Ma, J.; Wu, L. Development of Sensitive R6G/AuNCs Ratiometric Fluorescent Probes for the Detection of Biogenic Amines in Fish Products. IJMS 2024, 26 (1), 139. https://doi.org/10.3390/ijms26010139.

1.3.4 GSH

FITA-Containing 2,4-Dinitrophenyl Alkylthioether-Based Probe for Detection and Imaging of GSH

谷胱甘肽(GSH)在多种生理过程中扮演至关重要的角色,而其失衡与多种病理情况密切相关。探测 GSH 的探针不仅有助于理解 GSH 化学生物学,还有助于探索潜在的治疗诊断试剂。在本文中,我们首次采用 2,4-二硝基苯基烷基硫醚作为亲硫化选择性受体,报道了一种基于快速分子内硫醇活化芳基硒代酰胺(FITA)的荧光探针。由于电子转移(PET)的双重影响,该探针显示出较低的荧光,但在谷胱甘肽激活后,该探针在 460 纳米波长处表现出 86 倍的荧光增强,检出限为 0.95 微摩尔。此外,该探针具有毒性低,可应用于成像细胞谷胱甘肽的特性。这项工作进一步拓展了 FITA 平台的设计和适用性,为开发荧光探针提供了一种全新的硫醇脱保护策略。

image.png

Dong, Y.; Wang, L.; Liang, W.; Zhu, J.; Sun, L.; Yi, L. FITA-Containing 2,4-Dinitrophenyl Alkylthioether-Based Probe for Detection and Imaging of GSH. Sensors 2024, 25 (1), 34. https://doi.org/10.3390/s25010034.

1.3.5 硫醇

PyDNA-templated AgNPs coupled with poly (β‑cyclodextrin) enhanced fluorescence: A facile platform for signal amplification detection of biothiols in living cells and zebrafish

准确灵敏的生物硫醇荧光成像是理解某些生理和病理事件发生的机制,以及实现疾病的预防和诊断的基础。然而,当前传感器相关的荧光团信号转导效率低、生物相容性较差,制约着它们发挥应有的作用。本文设计了一种基于信号放大纳米探针的智能生物硫醇灵敏体内成像平台。所制备的纳米探针由带有富含 C 的 5'-芘标记的单链 DNA (PyDNA)、DNA 模板化银纳米粒子 (AgNPs) 和放大载体 β-环糊精基聚合物 (βCDP) 组成。PyDNA 不仅用作信号标记,而且用作模板 DNA 进行银纳米粒子 (PyDNA-AgNPs) 的原位生长,导致通过 FRET 猝灭 PyDNA 的荧光。在 GSH 作为模型生物硫醇的存在下,由于生物硫醇与 AgNPs 通过形成 S-Ag 键强烈相互作用,PyDNA 从 AgNPs 的表面脱落,导致荧光增强。同时,释放的 PyDNA 能够与βCDP 形成主体-客体包合物,实现信号放大(10.1 倍增强)。所获得的纳米探针对谷胱甘肽 (GSH) 表现出高灵敏度和选择性,检测限低至 71 nM。使用 HeLa 细胞作为模型,该纳米探针不仅实现了对活细胞中 GSH 的高灵敏度放大检测和成像,而且应用于斑马鱼中外源性 GSH 水平的体内监测。进一步使用探针揭示肺病模型小鼠和临床肺癌患者肿瘤组织中高对比度成像的 GSH 过表达已成功得到证实。它为高灵敏度生物硫醇成像提供了一个简单的工具,并可能为肿瘤的早期和准确诊断开辟一条新途径。

image.png

Yan, H.; Liu, M.; Mao, L.; Zhu, Y.; Yang, X.; Yang, S.; Wang, Z.; Xia, Y.; Ren, W.; Jin, Z.; Gao, Y. PyDNA-Templated AgNPs Coupled with Poly (Β‑cyclodextrin) Enhanced Fluorescence: A Facile Platform for Signal Amplification Detection of Biothiols in Living Cells and Zebrafish. Spectrochimica Acta Part A: Molecular and Biomolecular Spectroscopy 2025, 330, 125660. https://doi.org/10.1016/j.saa.2024.125660.

1.4 大分子检测

1.4.1 依诺肝素

Effectively detect enoxaparin using polymyxin B as medium through fluorescent strategy based on carbon dots with antioxidant activity

这篇文章介绍了一种基于碳点(A-CDs)和多粘菌素 B(PMB)的荧光策略,用于有效检测依诺肝素(Enox)。研究人员通过静电相互作用形成了 PMB-Enox 复合物,该复合物在 340 nm 处表现出新的吸收峰,并通过内滤效应(IFE)有效猝灭了 A-CDs 的荧光。该方法在 0.8–25.0 μg/mL 范围内具有良好的线性关系,检测限为 0.64 μg/mL,并在血浆样本中表现出良好的回收率。

image.png

Zhang, L.; Cai, R.; Wang, Y.; Miao, C.; Zhang, M.; Zheng, C.; Zhang, J.; Huang, Z.; Weng, S. Effectively Detect Enoxaparin Using Polymyxin B as Medium through Fluorescent Strategy Based on Carbon Dots with Antioxidant Activity. Microchemical Journal 2025, 208, 112615. https://doi.org/10.1016/j.microc.2024.112615.

1.4.2 CTnT

Bovine Serum Albumin-Capped Fluorescent Copper Nanocluster Incorporated with 2D-Molybdenum Disulfide Nanosheets as a FRET-Based Immune Probe for the “Turn-On” Detection of cTnT

这篇文章介绍了一种基于荧光共振能量转移(FRET)的免疫探针,用于检测心肌肌钙蛋白 T(cTnT)。研究人员利用牛血清白蛋白包裹的铜纳米簇(BSA©CuNCs)与二硫化钼(MoS₂)纳米片结合,设计了一种“开-关-开”技术的荧光探针。通过抗原-抗体相互作用,恢复了 BSA©CuNCs 的荧光。该方法的检测限为 9.4 pg/mL,线性范围为 0.161–1.57 ng/mL,并在血清样本中表现出良好的回收率。

image.png

Shkhair, A. I.; Madanan, A. S.; Varghese, S.; Abraham, M. K.; Indongo, G.; Rajeevan, G.; Kala, A. B. K.; Abbas, S. M.; George, S. Bovine Serum Albumin-Capped Fluorescent Copper Nanocluster Incorporated with 2D-Molybdenum Disulfide Nanosheets as a FRET-Based Immune Probe for the “Turn-On” Detection of cTnT. ACS Appl. Bio Mater. 2025, 8 (1), 835–843. https://doi.org/10.1021/acsabm.4c01670.

1.4.3 HSA

Tetraphenylethylene-indole as a novel fluorescent probe for selective and sensitive detection of human serum albumin (HSA) in biological matrices and monitoring of HSA purity and degradation

人血清白蛋白(HSA)会在人体血清和尿液中呈现,是对肝脏与肾脏疾病进行诊断的关键生物标志。HSA 可用于临床治疗各类疾病。同时,它还是疫苗或蛋白药物生产的辅料,为了确保患者安全,保证其纯度至关重要。不过,由于 HSA 与牛血清白蛋白(BSA)在结构上十分相似,加上生物基质本身的复杂性,想对 HSA 进行选择性和灵敏度检测仍然是一个难题。本研究提出了四苯基乙烯-吲哚(TPE-indo)荧光团在识别和量化 HSA 中的全新应用。研究结果表明,TPE-indo 能以1:1的摩尔比与 HSA 特异性结合,从而触发其聚集诱导发射 (AIE) 机制,产生选择性、灵敏、迅速的“开启”荧光响应。TPE-indo 的荧光强度几乎不受蛋白质、氨基酸、糖类、离子,以及尿液代谢物质的干扰,且其荧光强度与 HSA 浓度在 0~60 μg/mL 范围内呈线性相关,检出限为 0.30 μg/mL。此外,TPE-indo 对 HSA 的响应明显高于 BSA,这可归因于 TPE-indo 与这两种蛋白的结合模式明显不同。TPE-indo 可用以量化血清中的 HSA、分级蛋白尿样本、检测 HSA 样本中的 BSA 掺假,以及实时监测 HSA 降解过程。本研究不仅促进了高效 HSA 检测方法的发展,还强调了 TPE-indo 作为生物分析和临床诊断多功能工具的重要意义。

image.png

Yang, X.; Li, T.; Chen, X.; Zhang, H.; Liu, C.; Tao, C.; Nie, H. Tetraphenylethylene-Indole as a Novel Fluorescent Probe for Selective and Sensitive Detection of Human Serum Albumin (HSA) in Biological Matrices and Monitoring of HSA Purity and Degradation. Talanta 2025, 286, 127471. https://doi.org/10.1016/j.talanta.2024.127471.

1.5 多重检测

1.5.1 Pb2+ and Glyp

A near-infrared multifunctional fluorescent bio-probe with large stokes shift and high quantum yield for effective determination of heavy metal lead and pesticide glyphosate in vitro and vivo

重金属污染和农药残留对人类健康和生态系统构成重大威胁。尽管荧光成像技术应用广泛,但由于背景自发荧光和低量子效率的劣势,在复杂的生态和生物环境中往往难以实现。本研究引入了基于异佛尔酮的近红外(NIR)多功能“关-开-关”荧光生物探针DHB,其特点是具有较高的荧光量子产率(10.22%)、较大的斯托克斯位移(220 nm)、极高的选择性和出色的多循环可逆性。它能够连续灵敏地检测 Pb2+ 和草甘膦 (Glyp)。值得注意的是,DHB 和 DHB-Pb2+ 复合物在活的 HeLa 细胞、水稻根、斑马鱼和小鼠等多种实际样品中表现出了对 Pb2+ 和 Glyp 的卓越检测能力,这归因于其增强的代谢速率和低毒性。当与先进的成像技术相结合时,这种荧光生物探针可以作为在复杂的环境监测和生物系统中快速准确检测 Pb2+ 和 Glyp 的有力工具。

image.png

Liu, Y.-T.; Zhang, Q.-Q.; Yao, S.-Y.; Zhao, K.-Y.; Cui, H.-W.; Zhao, H.-Y.; Li, J.-Y.; Zou, Y.-L.; Zhao, L.-X. A Near-Infrared Multifunctional Fluorescent Bio-Probe with Large Stokes Shift and High Quantum Yield for Effective Determination of Heavy Metal Lead and Pesticide Glyphosate in Vitro and Vivo. Journal of Hazardous Materials 2025, 486, 137017. https://doi.org/10.1016/j.jhazmat.2024.137017.

1.5.2 pyrophosphate and alkaline phosphatase

Squaraine dye as a fluorescent probe for highly sensitive detection of pyrophosphate and alkaline phosphatase

我们合成了一种咔吖啶染料 (F-0),通过调节 F-0 的荧光来开发检测焦磷酸盐 (PPi) 和碱性磷酸酶 (ALP) 的方法。F-0 体系在加入 Cu 2+ 离子后荧光强度猝灭;然而,由于 PPi 和 Cu 2+ 之间形成络合物,导致 PPi 引入后荧光强度恢复。由于 ALP 可以水解 PPi,因此在加入 ALP 后体系的荧光再次猝灭。基于这些原理,我们建立了一个表现出“关闭-开启-关闭”荧光响应的荧光探针。该方法对 PPi 和 ALP 的检出限分别为 103 nmol dm−3 和 0.18 U dm−3。此外,该方法显示出良好的选择性和特异性,可用于实际样品中 PPi 的检测。

image.png

Zhu, W.; Zhao, S.; Yu, B.; Tao, Y.; Wang, C.; Shi, L.; Zhang, X.; Meng, J.; Wu, C.; Ding, C.; Yu, L. Squaraine Dye as a Fluorescent Probe for Highly Sensitive Detection of Pyrophosphate and Alkaline Phosphatase. ANAL. SCI. 2024. https://doi.org/10.1007/s44211-024-00697-2.

1.5.3 Al3+ and pH

A multifunctional near-infrared fluorescent probe with a large Stokes shift for monitoring of Al3+ and pH in biological vivo and its smartphone application

本文报道了一种基于异佛尔酮的双响应荧光探针 DDTC,用于在生物体内检测 Al 3+和 pH 值。DDTC 分别通过显着的荧光增强和实质性的斯托克斯位移识别 Al 3+和 pH 值。DDTC 通过荧光“开启”机制对 Al 3+(LOD = 2.54 nM)表现出高选择性、即刻响应和适当的灵敏度。测定了 DDTC 在识别 Al 3+之前和之后的荧光量子产率。对 Al 3+的灵敏检测可归因于 DDTC 的 C=O、-NH-和-OH 与 Al 3+配位,增强了 ICT 和 CHEF 效应,从而增强了荧光。此外,DDTC 对 pH 变化(7.5-12.0)表现出高灵敏度,并伴随着显着的比色效应。不同 pH 值的 DDTC 溶液的比色法可以通过智能手机在阳光和紫外线下识别。对 pH 变化的响应归因于酚羟基的去质子化,并伴随着荧光光谱中较大的斯托克斯位移。DDTC 已被制成用于检测 HeLa 细胞和斑马鱼中的 pH 值,并且已成功用于检测 HeLa 细胞、斑马鱼和小鼠中的 Al 3+。

image.png

Zhao, H.-Y.; Liu, Y.-T.; Yao, S.-Y.; Zhao, K.-Y.; Zhang, Q.-Q.; Zou, Y.-L.; Zhao, L.-X. A Multifunctional Near-Infrared Fluorescent Probe with a Large Stokes Shift for Monitoring of Al3+ and pH in Biological Vivo and Its Smartphone Application. Microchemical Journal 2025, 208, 112592. https://doi.org/10.1016/j.microc.2024.112592.

1.5.4 Pb2+ and L-cysteine

Dual-analyte detection of Pb2+ and L-cysteine using a ratiometric fluorescence probe based on carbon dots

重金属和氨基酸在环境和药物样品中的存在日益增加,因此需要开发有效且灵敏的检测方法。传统的分析技术通常缺乏同时检测多种分析物所需的特异性和灵敏度,因此需要新的方法。在这项研究中,我们开发了一种基于红色和蓝色碳点(R/BCDs)物理混合物的比率荧光探针,用于选择性检测铅离子(Pb 2+)和 L-半胱氨酸(L-Cys)。该探针通过热液法合成并通过各种光谱技术表征。R/BCDs 探针对 Pb 2+表现出显着 11.6 倍的荧光猝灭,检测限为 15 nM,而随后添加 L-Cys 表现出 9.6 倍的恢复荧光信号,达到 75 nM 的检测限。此外,我们证明了制造比色试纸和水凝胶的可行性,从而实现快速现场分析。这种双分析物检测能力通过在真实水和药物样品中的成功应用得到证明。R/BCDs 探针为环境监测和生物学评估提供了一种新颖、简单且有效的方法,凸显了其在实际应用中的潜力。

image.png

Hou, J.; Chen, Q.; Meng, X.; Wang, D.; Liu, H.; Feng, W. Dual-Analyte Detection of Pb2+ and L-Cysteine Using a Ratiometric Fluorescence Probe Based on Carbon Dots. Microchemical Journal 2025, 208, 112576. https://doi.org/10.1016/j.microc.2024.112576.

1.5.5 ochratoxin A and aflatoxin B1

Dual-ratiometric fluorescent aptasensor based on gold nanoclusters and dual-amplification strategy for simultaneous detection of ochratoxin A and aflatoxin B1

本文研究中,合成了两种具有荧光性质的金纳米团簇(AuNCs)作为内参信号,而无标记荧光染料 N-甲基卟啉二丙酸酯 IX(NMM)和 SYBR Green I(SGI)则用作响应信号。建立了双比率荧光适体传感器,用于同时检测赭曲霉毒素 A (OTA) 和黄曲霉毒素 B 1 (AFB 1)。两个靶点的适体和互补链可以自组装形成 Y 形 DNA 纳米结构。当存在目标物时,目标物可以特异性地与它的适体结合并释放互补 DNA。互补 DNA 可用作引发子链,触发杂交链反应 (HCR) 和催化发夹组装 (CHA) 的扩增反应。然后通过添加 SGI 和 NMM 产生荧光信号。由 SGI 和 NMM 产生的荧光信号与由两种 AuNCs 产生的荧光信号的比率可用于定量检测 OTA 和 AFB 1。双比率荧光适体传感器具有良好的特异性和准确性。在最佳实验条件下,OTA 和 AFB 1 的线性范围为 0.05–200 ng/mL,检出限分别为 6.7 pg/mL 和 8.6 pg/mL。开发的适体传感器已成功应用于实际样品中霉菌毒素的检测,证实了良好的实用性。

image.png

Wang, M.; Xiao, C.; Zhao, F.; Qiao, M.; Liu, Y.; Wei, M.; Jin, B. Dual-Ratiometric Fluorescent Aptasensor Based on Gold Nanoclusters and Dual-Amplification Strategy for Simultaneous Detection of Ochratoxin A and Aflatoxin B1. Sensors and Actuators B: Chemical 2025, 427, 137164. https://doi.org/10.1016/j.snb.2024.137164.

2 成像型荧光材料

2.1 检测物成像

2.1.1 过氧化氢

Near-infrared fluorescence imaging platform with ultra large Stokes shift for monitoring and bioimaging of hydrogen peroxide in the process of ferroptosis

过氧化氢 (H 2 O 2) 作为一种强氧化剂,对于生物体的有氧代谢至关重要,并且与多种疾病的发生密切相关。实时监测环境和生物微环境中的 H 2 O 2 水平对于环境保护和阐明 H 2 O 2 相关的生理和病理过程至关重要。本研究构建了基于光致电子转移机制的新型近红外荧光成像平台,并构建了近红外荧光探针 FBMH。一系列评估其光谱特性和生物成像能力的实验表明,该探针在近红外范围内发光,在复杂环境中具有优异的选择性和抗干扰能力,同时还具有高灵敏度(LOD = 2.6 × 10-9 mol/L)、大斯托克斯位移(220 nm)和快速响应(15 分钟)。此外,该探针实现了实际水样中 H 2 O 2 的检测。此外,在 Hela 细胞、Raw 264.7 细胞、斑马鱼和 BALB/c 裸鼠中实现外源性和内源性 H 2 O 2 的生物成像,特别是可视化凋铁死亡过程中 H 2 O 2 水平的变化,证明了其在监测 H 2 O 2 相关的疾病中具有出色的潜力。

image.png

Yang, X.; Fan, C.; Gao, J.; Gao, Y.; Wang, X.; Xu, Z.; Li, F.; Yu, H.; Huang, Y.; Chen, J.; Shan, Y. Near-Infrared Fluorescence Imaging Platform with Ultra Large Stokes Shift for Monitoring and Bioimaging of Hydrogen Peroxide in the Process of Ferroptosis. Spectrochimica Acta Part A: Molecular and Biomolecular Spectroscopy 2025, 330, 125666. https://doi.org/10.1016/j.saa.2024.125666.

2.1.2 Hg 离子成像

Resazurin-based fluorescent probe for mercury ions and its applications in environment and biological systems

重金属汞作为环境中最具代表性和毒性最大的元素之一,即使在极低浓度下也能危害人体健康。为此,我们开发了一种基于吩噻嗪染料的新型荧光增强探针 RTQ,利用碳硫代酯基团作为识别受体,实现了对 Hg 2+ 的选择性检测。RTQ 探针可对 0-0.1 μM 范围内的 Hg 2+ 进行定量分析,检出限为 14 nM。此外,RTQ 探针可以特异性识别 Hg 2+,导致明显颜色从洋红色变为深蓝色。采用智能手机的 RGB 值分析功能,分析了颜色变化与 Hg 2+ 含量之间的关系。RTQ 可制成测试条,作为检测 Hg 2+ 的便携式工具。最后,RTQ 在环境水样、细胞和斑马鱼中的成功应用表明,它可为 Hg 2+ 的检测提供一种有前景的新工具。

image.png

Bai, J.; Ma, L.; Fang, Y.; Wang, K.; Li, Z.; Zhu, B.; Liu, C. Resazurin-Based Fluorescent Probe for Mercury Ions and Its Applications in Environment and Biological Systems. Spectrochimica Acta Part A: Molecular and Biomolecular Spectroscopy 2025, 330, 125650. https://doi.org/10.1016/j.saa.2024.125650.

2.2 细胞成像

2.2.1 脂滴

Triphenylamine-based AIE fluorescence probe for lipid droplets imaging in living cells

脂滴(LDs)作为重要的细胞器,在调节细胞代谢和生长方面具有至关重要的作用。当其功能发生紊乱时,可导致一系列疾病的发生,因此监测 LDs 成为研究者的关注热点。本研究依据三苯胺的亲脂性,以其衍生物作为靶向基团,发展了一系列基于氮杂桥氧的 BODIPY 类荧光探针(X 1-X 5)。探针 X 1、X 2 和 X 4 均表现出良好的聚集诱导发光(AIE)性能。此外,这些探针具有优异的光稳定性和低细胞毒性,在水(H 2 O)中具有较大的斯托克斯位移(\u 003 e 100 nm)。特别是探针 X 4 已成功应用于活细胞 LDs 成像,为生物成像领域提供了有价值的工具。

image.png

Zhang, S.; Fang, Y.; Wang, J.; Sun, A.; Li, J.; Zhang, X.; Wang, C.; Zhou, L.; Hu, L.; Wang, H. Triphenylamine-Based AIE Fluorescence Probe for Lipid Droplets Imaging in Living Cells. Journal of Photochemistry and Photobiology A: Chemistry 2025, 462, 116248. https://doi.org/10.1016/j.jphotochem.2024.116248.

3 应用型荧光材料

3.1 信息加密

3.1.1 防伪

Development of a novel AIEE fluorescent probe for hydrazine based on diarylethene and its applications in invisible two-dimensional code

本研究以肼在化工和药物代谢中的参与为背景,针对毒性肼在生态环境中的污染和健康危害,开发了检测生态环境中气态和液态肼的方法。本工作设计并合成了一种基于二芳乙烯的新型荧光探针 DC-1 用于检测肼。DC-1 在 540 nm 处显示绿色发射衰减,并具有明显的聚集诱导发射增强(AIEE)性质,探针 DC-1 对肼检测传感行为表现出高选择性和抗干扰能力,检测下限低(23 nM),肉眼易于识别。该探针可用于定量检测肼蒸气,并检测实际水样和活细胞中的肼。更重要的是,通过利用 DC-1 的光致变色性质,实现了信息加密和防伪。

image.png

Gong, Z.; Yue, L.; Tan, Z.; Wu, Y.; Huang, Y.; Ding, H.; Fan, C.; Liu, G.; Pu, S. Development of a Novel AIEE Fluorescent Probe for Hydrazine Based on Diarylethene and Its Applications in Invisible Two-Dimensional Code. Microchemical Journal 2025, 209, 112598. https://doi.org/10.1016/j.microc.2024.112598.

4 诊疗型荧光材料

4.1 疾病诊断

4.1.1 类风湿关节炎

A mitochondria-targeted NIR fluorescence/photoacoustic dual-modality probe for highly sensitive and selective imaging of HClO in vivo

次氯酸(HClO)是一种典型的内源性活性氧物质,主要在粒线体中生成,过量水平与多种病理状况密切相关。因此,体内粒线体 HClO 的检测在生物医学领域具有重要意义。近红外荧光 (NIRF)/光声 (PA) 双模态成像技术在生物成像中提供了更高的准确性。在此,设计并合成了新型粒线体靶向 NIRF/PA 双模态探针 (MB-ClO)。MB-ClO 对 HClO 表现出显着的选择性、超灵敏度(LOD = 5.1 nM),并具有快速荧光响应(\u 003 c 10 s)。MB-ClO 毒性低且水溶性好,使其适用于生物应用。此外,MB-ClO 能够靶向线粒体。MB-ClO 已成功用于检测生物系统中的 HClO。此外,MB-ClO 已用于类风湿性关节炎小鼠模型的 NIRF/PA 双模态成像,证明了其在生物医学研究中的广泛应用潜力和价值。

image.png

Liao, Y.; Yi, T.; Tan, K.; Su, X.; Chen, S.; Lu, M.; Yang, Y.; Huang, X.; Zhao, Y.; Huang, H.; Jiang, N.; Yan, Z.; Wei, C. A Mitochondria-Targeted NIR Fluorescence/Photoacoustic Dual-Modality Probe for Highly Sensitive and Selective Imaging of HClO in Vivo. Spectrochimica Acta Part A: Molecular and Biomolecular Spectroscopy 2025, 330, 125680. https://doi.org/10.1016/j.saa.2024.125680.

4.1.2 非酒精脂肪肝

Washing-free fluorescent probes for visualizing the process of lipophagy and identifying non-alcoholic fatty liver disease

脂质滴(LDs)是参与多种生理过程的细胞器,实时监测其动态行为对于诊断和治疗相关疾病至关重要。在此,我们设计并合成了五种具有强电子推挽效应的基于吗啉的荧光分子,称为 WZX 1-WZX 5,并探索了它们的 LDs 靶向能力。通过修饰分子的取代基,我们发现 WZX 2、WZX 4 和 WZX 5 在特异性靶向细胞 LDs 方面表现出显着的功效。其中,WZX 5 因其明显更长的发射波长(在 DMSO 中为 677 nm,在 PBS 中为 664 nm)而被选为进一步研究的对象。值得注意的是,探针 WZX 5 在 LDs 中表现出良好的生物相容性和快速积累,在 20 秒内即可完成。此外,探针 WZX 5 具有很高的信噪比,并且在无需用 PBS 洗涤的情况下产生一致的结果。重要的是,探针 WZX 5 成功地可视化了脂 ophagy 过程,促进了对 LDs-溶酶体相互作用的研究。通过荧光成像在组织和器官水平上识别非酒精性脂肪性肝病(NAFLD)进一步证实了这一能力。探针 WZX 5 的这些特性使其成为诊断 LDs 相关疾病和深入研究脂 ophagy 过程的宝贵工具。

image.png

Wang, H.; Tang, F.; Yang, J.; Hu, L.; Wang, Y.; Zhang, X.; Zhang, C.; Gu, X.; Zhang, C.; Ding, A. Washing-Free Fluorescent Probes for Visualizing the Process of Lipophagy and Identifying Non-Alcoholic Fatty Liver Disease. Microchemical Journal 2025, 208, 112603. https://doi.org/10.1016/j.microc.2024.112603.

4.1.3 动脉粥样斑块

Rational Development of a Lipid Droplets and Hypochlorous Acid In-Sequence Responsive Fluorescent Probe for Accurate Imaging of Atherosclerotic Plaques

为响应对心血管疾病 (CVDs) 进行有效、及时干预的呼吁,开发出能够精准识别动脉粥样斑块(各种致命性心血管疾病的根本原因)的荧光探针非常需要,但仍然是一项巨大的挑战。在此,通过将双(三氟甲基)苄基和吩噻嗪整合到香豆素基质中,开发了一种强大的荧光探针,NOR 1。NOR 1 分别通过荧光开启和比例测量读数顺序响应脂滴 (LDs) 和 HClO,具有快速响应速率(LDs 为 70 秒内,HClO 为 80 秒内)、出色的灵敏度(检测限:LDs 为 0.41 μg/mL,HClO 为 23.38 nM)和高选择性。基于这些令人印象深刻的特性,NOR 1 成功应用于通过同时监测泡沫细胞的两个标志性事件,脂质积累和氧化应激,来区分泡沫细胞与其他细胞。此外,首次成功实现使用 NOR 1 实时监测 A 7 r 5 细胞在高 LDL/葡萄糖条件下转化为泡沫细胞的过程。更重要的是,我们进一步证明了 NOR 1 能够精确定位动脉粥样斑块,边缘界限清晰,突出了其在阐明动脉粥样硬化的病理机制和临床诊断中具有潜在的应用价值。

image.png

Wang, J.; Su, S.; Zheng, H.; Zhang, C.; Chen, W.; Zhang, S.; Xiao, Q.; Sheng, J.; Yang, L. Rational Development of a Lipid Droplets and Hypochlorous Acid In-Sequence Responsive Fluorescent Probe for Accurate Imaging of Atherosclerotic Plaques. Anal. Chem. 2025, 97 (1), 758–767. https://doi.org/10.1021/acs.analchem.4c05265.

4.2 诊疗结合

4.2.1 线粒体粘度相关疾病

Construction of a mitochondrial-targeting near-infrared fluorescent probe for detection of viscosity changes in type 2 diabetes mellitus and nonalcoholic steatohepatitis

细胞内粘度作为理化性质和细胞器功能的重要指标,对细胞功能至关重要。亚细胞粘度的异常改变通常与细胞功能障碍和多种疾病相关。非酒精性脂肪性肝炎(NASH)是最常见的与 2 型糖尿病(T 2 DM)相关的肝脏疾病,两者均与异常的线粒体粘度相关。本研究设计并筛选了一种新型近红外探针 MT-E,携带作为粘度响应基团的双键,用于对 HepG 2 细胞、斑马鱼和动物模型中的粘度变化进行成像。MT-E 具有优异的线粒体靶向能力,以及大的斯托克斯位移(167 nm)。此外,利用 MT-E 的优异性能,我们首先监测了 T 2 DM 小鼠和 NASH 小鼠的粘度上升趋势,表明 T 2 DM 和 NASH 之间存在很强的相关性。更具突破性的是,我们通过荧光成像成功揭示了芦荟素在治疗 T 2 DM 小鼠方面可有效降低粘度的巨大潜力。这表明 MT-E 可能在与线粒体粘度相关的疾病治疗中发挥指导作用。

image.png

Ren, X.; Sayed, Z. N.; Shi, S.; Hao, J.; Gao, J.; Wu, J.; Zhang, H.; Liu, Z.; Zhang, B. Construction of a Mitochondrial-Targeting near-Infrared Fluorescent Probe for Detection of Viscosity Changes in Type 2 Diabetes Mellitus and Nonalcoholic Steatohepatitis. Talanta 2025, 286, 127470. https://doi.org/10.1016/j.talanta.2024.127470.