【JACS】覆盖 10–330 K 的双温区稀土发光 MOF 温度计:来自一篇前沿研究的 2 大机制 + 4 类材料 全面解析
文章标题: Luminescent Lanthanide Metal–Organic Frameworks for Temperature Sensing in Two Distinct Temperature Regions
通讯作者: Svetlana V. Eliseeva; Stéphane Petoud; Theodore Lazarides
文章链接: https://doi.org/10.1021/jacs.5c12757

文章概要
引言
论文围绕光致发光温度计(luminescent thermometers)的发展需求展开,强调在生物医学、微电子、量子材料等领域中实现精准、非接触式温度监测的重要性。比率型发光温度计(RLTs)因其通过发光强度比值消除外界干扰而备受关注。然而,现有基于稀土金属有机框架(LnMOFs)的温度计往往依赖高浓度的发光中心,容易出现浓度猝灭,并且多数只能在单一温区工作。论文提出通过构筑混金属、混配体的 La 基 MOF,实现跨越 10–330 K 的双温区温度响应,并以极低稀土掺杂量获得高灵敏度,填补了 Sm³⁺、Dy³⁺ 掺杂 MOF 温度计的研究空白 。

主要实验及结论
研究首先通过溶剂热法合成了一系列通式为 [La₁₋ₓLnₓ(BDC)₁₋ᵧ(ABDC)ᵧCl(DMF)] 的 LnMOFs,其中 BDC 与 ABDC 为双配体体系,Ln 包括 Eu、Tb、Sm、Dy。单晶结构解析显示材料属于正交晶系 Pnma,La³⁺ 形成沿 a 轴延展的锯齿状链结构,BDC/ABDC 以 μ₂-η²:η¹ 模式桥联,DMF 为终端配体。PXRD 证明结构在不同掺杂比例下保持稳定,ABDC 的加入导致晶胞轻微膨胀,表明混配体策略成功实现结构调控 。

光物理研究揭示 BDC 与 ABDC 均具有荧光与磷光行为,其中 BDC 在 77 K 下呈现长寿命磷光,而 ABDC 的磷光主要来自 BDC→ABDC 的能量传递。能级分析表明 BDC 的三重态能级适合敏化 Eu³⁺、Tb³⁺、Sm³⁺、Dy³⁺,而 ABDC 仅适合敏化 Eu³⁺ 与 Sm³⁺。在极低掺杂量(1–10 mol%)下,Ln³⁺ 发射仍占主导,说明能量传递效率极高。Eu³⁺、Tb³⁺、Sm³⁺、Dy³⁺ 的典型寿命分别为 1240 μs、1500 μs、90 μs 与 6 μs,量子产率最高可达 81%,显示出优异的发光性能 。

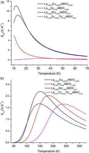
温度响应实验覆盖 10–330 K,结果显示在低温区(10–100 K)配体磷光增强、Ln³⁺ 发光受抑,适合利用配体/Ln 比值作为温度参数;在高温区(70–330 K)非辐射过程增强,Ln³⁺ 发光增强,比值随温度单调变化。所有样品均可用 Mott–Seitz 模型拟合,说明温度激活的非辐射跃迁是主导机制。四个代表性样品中,Eu 掺杂样品在低温区的最高灵敏度达 11.1% K⁻¹(11.8 K),在高温区达 2.2% K⁻¹(150 K),Dy³⁺ 与 Sm³⁺ 掺杂样品也表现出优异灵敏度。温度不确定度最低可达 0.01–0.06 K,五次循环测试重复性超过 99%,证明材料稳定可靠 。

总结及展望
论文成功构筑了一类混配体、混金属的 La 基 LnMOFs,实现了跨越 10–330 K 的双温区比率型温度探测,并以极低稀土掺杂量获得高灵敏度。研究首次展示了 Sm³⁺ 掺杂 MOF 的温度敏感性,并补充了 Dy³⁺ 掺杂体系的稀缺案例,拓展了 LnMOF 温度计的材料体系。混配体策略不仅提供了多能级发光中心,也增强了能量传递的可调控性,使材料在深冷至室温范围内均表现出优异的温度响应。未来,这类材料有望应用于低温物理研究、量子器件温控、微电子散热监测以及生物医学温度成像等领域,同时也为设计更高性能的宽温区光学温度计提供了新的思路 。