【JACS】局部硼位点在大孔硼硅酸盐沸石EMM-59中的确定:电子晶体学的突破
总结
研究通过三维电子衍射(3D ED)和扫描透射电子显微镜(STEM)成像技术,确定了新型大孔硼硅酸盐沸石EMM-59的结构。发现硼原子主要位于4环的T位点,特别是那些由多个4环共享的位点。 
摘要
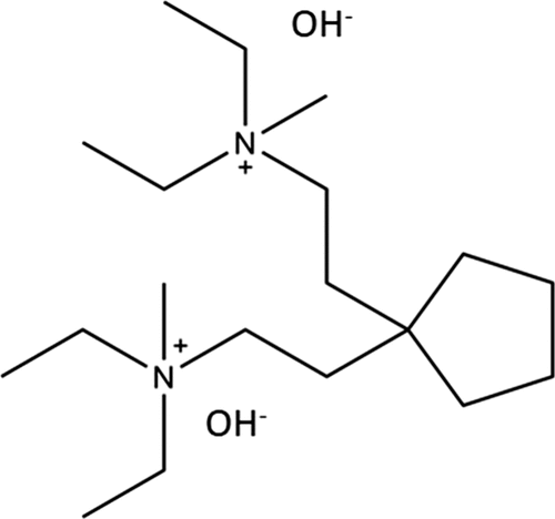
本研究利用三维电子衍射(3D ED)和扫描透射电子显微镜(STEM)成像技术,确定了新型大孔硼硅酸盐沸石EMM-59的结构。EMM-59由2,2-(环戊烷-1,1-二基)双(N,N-二乙基-N-甲基乙胺)作为有机结构导向剂(OSDA)合成。该框架具有三维交叉通道系统,由12×10×10环开口限定,包含28个T和60个氧原子,是最复杂的单斜沸石。3D ED数据揭示了OSDA的三个独立位置,STEM成像显示OSDA在相同结构环境的通道中采用不同的分子构象。框架硼原子主要位于4环的T位点,特别是那些由多个4环共享的位点。最高硼含量的四面体BO4在煅烧后转变为三角形BO3,其位置和硼含量也通过STEM成像确定。
研究结果分类展示
合成与分离
合成方法:使用2,2-(环戊烷-1,1-二基)双(N,N-二乙基-N-甲基乙胺)作为OSDA,通过水热法合成EMM-59。

分离纯化:通过多阶段高效液相色谱(HPLC)分离纯化,确认了EMM-59的纯度。
分子结构
3D ED数据:在低温条件下收集的3D ED数据揭示了OSDA的三个独立位置。

STEM成像:显示OSDA在相同结构环境的通道中采用不同的分子构象。

硼位点
- T位点:硼原子主要位于4环的T位点,特别是那些由多个4环共享的位点。


- 煅烧后变化:最高硼含量的四面体BO4在煅烧后转变为三角形BO3。

这项研究展示了电子晶体学在确定大孔硼硅酸盐沸石结构中的巨大潜力,为未来的材料科学研究提供了新的思路和方法。详细信息可以在这里找到。