【Coord.Chem.Rev】高半胱氨酸(Homocysteine)特异性的荧光探针:机理及生物应用
总结
Huo等人发表了一篇综述性文章,主要探讨了高半胱氨酸(Homocysteine)的荧光探针,包括探针的设计策略、感应机制以及生物医学应用。
摘要
文章首先介绍了高半胱氨酸的重要性,它是一种含有硫胺基团的氨基酸,与多种疾病有关,如癌症、冠心病、阿尔茨海默病等。由于其在生理和病理过程中的作用,对高半胱氨酸的实时检测具有重要意义。因此,研究和开发高度敏感和选择性的荧光探针对于监测高半胱氨酸水平至关重要。
文章接着阐述了荧光探针的设计策略,这些策略基于不同的化学反应机制,如迈克尔加成反应、芳香环取代重排反应、核ophilic取代反应、环化反应以及金属复合物反应等。这些探针能够通过不同的感应机制选择性地检测到高半胱氨酸。

文章详细介绍了多种荧光探针的开发和应用,包括基于不同化合物和其衍生物的探针,如苯胺、硝苯呋喃、赛诺绿、邻苯二酚、BODIPY、金属复合物等。这些探针通过各种化学反应,如取代、重排、环化反应以及金属复合物的形成等,实现了对高半胱氨酸的高度选择性和敏感性的检测。
| NO | Representative probe | Sensing mechanism | LOD (μM) | Response time | Emission wavelengths |
|---|---|---|---|---|---|
| 1 | ![]() | Michael addition reaction mechanism | 3.5 μM | 3 | 625 nm |
| 2 | ![]() | Michael addition reaction mechanism | 3 | 493 nm | |
| 3 | ![]() | Aromatic Substitution reaction mechanism | 1.6 μM | 10 | 543 nm |
| 4 | ![]() | Aromatic Substitution reaction mechanism | 0.0335 μM | 30 | 697 nm |
| 5 | ![]() | Aromatic Substitution reaction mechanism | 0.23 μM | 3.06 | 570–620 nm |
| 6 | ![]() | Aromatic Substitution reaction mechanism | 0.0115 μM | 30 | 500–600 nm |
| 7 | ![]() | Aromatic Substitution reaction mechanism | 560–760 nm | ||
| 8 | ![]() | Nucleophilic substitution reaction mechanism | 0.84 μM | 15–20 | 560 nm |
| 9 | ![]() | Nucleophilic substitution reaction mechanism | 1–10 | 547 nm | |
| 10 | ![]() | Nucleophilic substitution reaction mechanism | 0.0155 μM. | 15 | 507 nm |
| 11 | ![]() | Nucleophilic substitution reaction mechanism | 0.42 μM | 20–40 | 608 nm |
| 12 | ![]() | Nucleophilic substitution reaction mechanism | ∼1.81 μM | 20 | 580–690 nm |
| 13 | ![]() | Nucleophilic substitution reaction mechanism | 0.256 μM | 60 | 542 nm |
| 14 | ![]() | Cyclization reaction Mechanism. | 1.45 μM | 40 | 528 nm |
| 15 | ![]() | Cyclization reaction Mechanism. | 0.37 μM. | >15 | 554 nm |
| 16 | ![]() | Cyclization reaction Mechanism. | 488 nm | ||
| 17 | ![]() | Metal complexes reaction mechanism | 1.46 μM | 0–15 | |
| 18 | ![]() | Metal complexes reaction mechanism | 0.32 μM | 90 | 608 nm |
| 19 | ![]() | Metal complexes reaction mechanism | 0.25 _μ_M | 512 nm | |
| 20 | ![]() | Other reaction mechanism. | 9.02 μM | 80 | 538 nm |
| 21 | ![]() | Intramolecular Rearrangement | 0.35 μM | 30 | 740 nm |
| 22 | ![]() | nucleophilic attack via a ESPIT mechanism | 1.2 _μ_M. | 10–15 | 470 nm |
文章还强调了探针在生物医学领域的应用,特别是在细胞成像和疾病诊断中。通过这些探针,研究人员能够在活细胞中实时监测高半胱氨酸的变化,对于理解其在细胞功能和疾病发展中的作用具有重要意义。
最后,文章讨论了未来研究的方向,包括开发更加选择性和敏感性的探针,以及探索新的感应机制和纳米材料的应用。此外,文章还强调了将这些探针应用于临床诊断和治疗监测的潜力。
细节
荧光探针的设计策略多样:研究者们开发了多种基于不同化学反应的荧光探针,以实现对高半胱氨酸的选择性检测。
迈克尔加成反应

芳香环取代重排反应

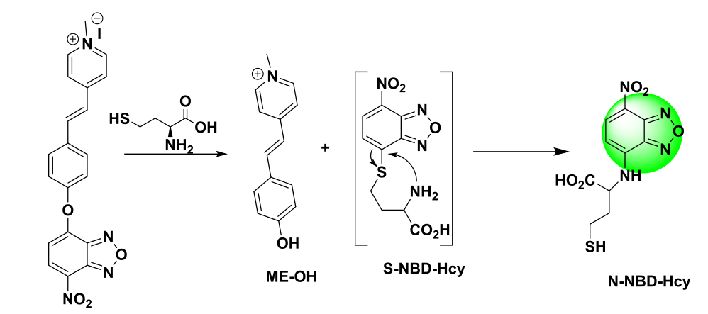
亲核取代重排反应

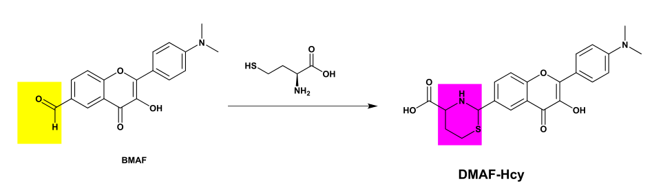
环化反应

金属复合物反应

其他反应


参考文献
Pervez, W.; Laraib; Yin, C.; Huo, F. Homocysteine Fluorescent Probes: Sensing Mechanisms and Biological Applications. Coordination Chemistry Reviews 2025, 522, 216202. https://doi.org/10.1016/j.ccr.2024.216202.





















