【Inorg.Chem.】突破性进展:姜黄素-BF2复合物引领红光LED新纪元
关键词:姜黄素-BF2复合物,聚集诱导发射,红光LED,光物理特性,固态照明
在现代社会,随着科技的不断进步,固态照明技术正逐渐成为主流。近期,一项创新研究成功开发了一种新型的姜黄素-BF2复合物,展现出卓越的聚集诱导发射(AIE)活性,为高性能红光发光二极管(LED)的应用铺平了道路。
研究背景
姜黄素,这一从莪术根茎中提取的天然化合物,不仅因其多样的治疗效果而被广泛研究,其独特的光物理性质也使其在光学领域有着广泛的应用潜力。然而,姜黄素的短发射波长和较差的光稳定性限制了其在更广阔领域的应用。为了解决这一问题,研究人员将目光投向了二氟硼β-二酮(BF2bdk)配合物,这类化合物以其易于合成和丰富的光物理性质而受到关注。

创新的TCBF复合物
在本研究中,研究人员通过克诺文纳格尔缩合反应,成功合成了一种新型的四苯基乙烯(TPE)功能化姜黄素-BF2(TCBF)复合物。这种D-π-A-π-D结构的复合物不仅保持了TPE的AIE活性,还将其发射颜色扩展到了红光区域,显示出长期的光稳定性。

结果与讨论
光物理特性
TCBF在不同溶剂中展现出高度可调的荧光发射,其荧光量子产率在不同溶剂中变化显著,表明了其出色的溶剂敏感性。在H2O/DMSO混合物中,TCBF表现出明显的AIE特性,随着水的比例增加,荧光强度显著增加,且发射峰红移,显示出强烈的红色荧光。
图1. TCBF的光物理特性
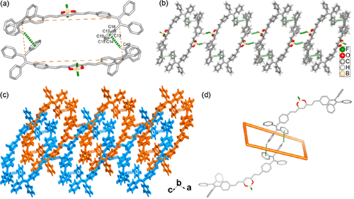
晶体结构分析
通过单晶X射线衍射分析,研究人员发现TCBF具有不对称的分子结构,TPE单元围绕中央双键核心呈螺旋桨构象。此外,TCBF分子通过C-H-π相互作用和C-H-F氢键形成了复杂的三维超分子结构,这种结构为TCBF的光物理特性提供了刚性基体。
图2. TCBF的晶体分析
光电性能
TCBF薄膜在光电测量中表现出了优异的稳定性,即使在持续500分钟的测试中,光电流密度也几乎没有衰减。此外,通过在商用蓝光芯片上涂覆TCBF粉末和有机硅胶,研究人员成功制造了荧光粉转换的红色LED器件,其发射强度随着驱动电流的增加而增强,显示出良好的线性关系。
图3. TCBF的器件性能
结论
这项研究成功开发了一种新型的姜黄素-BF2复合物TCBF,它不仅在分子层面上展现出了优异的光物理特性,还在实际应用中表现出了巨大的潜力。TCBF的成功合成和应用,为高性能红光LED的开发提供了新的方向,预示着AIE材料在固态照明领域的美好未来。
参考文献
Yang, X.-G.; Yin, P.-P.; Wang, Q.; Yang, S.-Y.; Li, Y.; Gao, X.; Song, J.; Zhang, X.-Y.; Li, Z. Aggregation-Induced Emission of Curcuminoid–BF 2 Complex for Phosphor-Converted Red Light-Emitting Diode. Inorg. Chem. 2024, acs.inorgchem.4c02502. https://doi.org/10.1021/acs.inorgchem.4c02502.