【Angew.Chem.】精确调控 3.5 Å 堆叠距离:Zn‑tpy 体系实现 2063 μmol·g⁻¹·h⁻¹ 太阳驱动过氧化氢产量的新策略
文章标题: Through‐Space Charge Transfer Complexes Based on Terpyridine Bi‐Functionalization for Efficient Solar‐Driven H₂O₂ Production
通讯作者: Prof. Zhihong Chen, Prof. Ming Wang
文章链接: https://doi.org/10.1002/anie.202521532

文章概要
一、研究背景:H₂O₂ 的绿色制备亟需突破
过氧化氢(H₂O₂)是一种兼具绿色氧化剂与高能量密度液体燃料双重属性的重要化学品,广泛应用于化工、纺织、消毒及航空航天推进等领域。然而,目前工业生产仍主要依赖能耗高、流程复杂且伴随污染的蒽醌法,这促使科研界积极探索更绿色、低能耗的替代路线。
太阳能驱动的光催化制 H₂O₂ 因仅需水与空气,被视为最具潜力的可持续方案。但现有光催化剂普遍存在可见光吸收弱、载流子复合快、依赖牺牲剂、贵金属含量高等问题,严重限制了效率提升。因此,构建具有高效光生电荷分离能力的新型分子光催化体系成为关键挑战。
在众多策略中,供体–受体(D–A)体系因其可通过能级调控实现定向电荷分离而备受关注。而其中的空间电荷转移(TSCT) 机制更因其无需共轭路径、依赖分子间空间堆叠而具备独特优势。然而,实现对 D–A 空间距离与取向的原子级精确调控仍极具挑战。

二、核心创新:基于 tpy 双功能化的 TSCT 精准调控策略
本研究提出一种新型 2,2′:6′,2″-terpyridine(tpy)双功能化策略,通过在 tpy 的 6 位与 4′ 位分别引入:
- triphenylamine(TPA)供体
- triphenyltriazine(TTz)受体
构建具有可编程空间结构的 D–A 分子框架。
研究者设计了两个仅相差一个苯环长度的配体:
- L1:长链 TPA
- L2:短链 TPA
并与 Zn(II) 配位形成两个单核配合物:
- S1(由 L1 形成)
- S2(由 L2 形成)
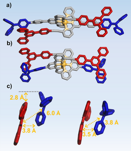
这一微小的结构差异却导致 D–A 堆叠方式发生显著变化:
| 配合物 | D–A 堆叠方式 | 层间距 |
|---|---|---|
| S1 | 滑移堆叠(slip-stacked) | 3.8 Å |
| S2 | 面–面堆叠(co-facial) | 3.5 Å |
单晶结构显示,短链 L2 使 D–A 单元更紧密、平行度更高,从而显著增强 TSCT 效应。

三、结构表征:从 NMR 到单晶的全方位验证
研究团队通过多种手段确认了配体与配合物的结构特征:
- ¹H NMR:关键质子信号明显上场移动,证明形成头尾式配位结构
- ESI-MS & TWIM-MS:确认单核结构与高度均一性
- TGA:两者均具备优异热稳定性(200 °C 以上)
- 单晶 XRD:揭示“单翼蝴蝶”构型,并精确测定 D–A 堆叠距离

这些结果共同证明了通过链长调控实现的 D–A 精准空间工程。
四、光物理性质:S2 展现更强 TSCT 特征
光吸收与发射实验表明:
- S1 与 S2 相比配体均出现明显红移,说明配位诱导 ICT 过程
- S2 的斯托克斯位移高达约 200 nm,远大于 S1
- S2 的发射峰位达 657 nm(近红外区),显示更强 ICT/TSCT 特征
- DFT 计算显示:
- S1:HOMO 与 LUMO 分布不完全分离
- S2:HOMO(TPA)与 LUMO(TTz)完全分离,典型 TSCT 特征
这表明 S2 的面–面堆叠显著增强了空间电荷转移能力。


五、电化学与光电性能:S2 的电荷分离效率全面领先
通过 UV–vis DRS、Mott–Schottky、EIS、PL 等测试,研究者发现:
- S2 具有更宽的可见光吸收范围
- S2 的带隙更小(1.98 eV vs. 2.11 eV)
- S2 的电荷转移阻抗最低
- S2 的荧光淬灭最明显,载流子复合最弱
- S2 的载流子寿命更长(13.63 ns vs. 5.70 ns)
这些结果共同证明:
S2 的电荷分离与传输效率显著优于 S1,是其高光催化性能的关键。
六、光催化 H₂O₂ 产量:S2 实现 2063 μmol·g⁻¹·h⁻¹ 的高效率
在无牺牲剂、空气与水体系中,S2 的表现极为亮眼:
- S2:2063 μmol·g⁻¹·h⁻¹
- S1:1099 μmol·g⁻¹·h⁻¹
S2 的效率几乎是 S1 的 2 倍,并且超过多数已报道的光催化体系。
稳定性方面:
- 连续 5 次循环后仍保持 98% 活性
- PXRD、NMR、UV–vis 均显示结构未发生变化

七、反应机制:S2 主要通过 2e⁻ ORR 路径生成 H₂O₂
通过气氛调控、自由基捕获、EPR、原位 DRIFTS 等实验,研究者确认:
- H₂O₂ 主要来自 两电子氧还原反应(2e⁻ ORR)
- 关键中间体为 ·O₂⁻
- 未检测到 ·OH,排除水氧化路径(WOR)
S2 的面–面堆叠结构增强了:
- O₂ 吸附能力
- 电子转移效率
- TSCT 驱动的电荷分离
从而实现高效 H₂O₂ 生成。

八、总结:通过分子尺度空间工程实现光催化性能跃迁
本研究通过单苯环尺度的链长调控,实现了 D–A 堆叠方式从滑移到面–面堆叠的转变,显著增强 TSCT 效应,使 S2 在太阳驱动 H₂O₂ 生成中表现出:
- 更强可见光吸收
- 更高电荷分离效率
- 更优光催化活性(2063 μmol·g⁻¹·h⁻¹)
- 更佳稳定性
该工作展示了tpy 双功能化策略在构筑可调 TSCT 光催化材料中的巨大潜力,为未来分子光催化剂的理性设计提供了重要范式。