【JACS】电子介质在 Z 型水分解中的应用:提升光催化产氢效率的突破
总结
研究揭示了电子介质在 Z 型水分解系统中导致光催化产氢效率下降的主要原因,并通过选择性表面修饰金属助催化剂(如 Pt、Ru)与氧化铬(CrOx)层,显著提升了 BaTaO 2 N 和 SrTiO 3: Rh 的光催化产氢活性。 
摘要
光催化水分解是利用太阳能获取可再生氢气的有效方法,但在 Z 型水分解系统中,电子介质的使用显著降低了光催化产氢效率。本文以 BaTaO 2 N 和 SrTiO 3: Rh 为例,研究了电子介质导致光催化产氢效率下降的原因,发现主要是由于穿梭离子在助催化剂表面的强吸附,抑制了质子的初始还原过程,并导致氧化穿梭离子的严重逆反应。通过选择性表面修饰金属助催化剂(如 Pt、Ru)与氧化铬(CrOx)层,有效防止了穿梭离子的吸附,显著提升了 BaTaO 2 N 和 SrTiO 3: Rh 的光催化产氢活性。研究结果表明,CrOx 修饰层不仅削弱了金属助催化剂与穿梭离子的吸附作用,还抑制了氧化穿梭离子的逆反应,从而显著提升了光催化 Z 型水分解的性能。
研究结果分类展示
光催化剂的合成与表征
- 合成方法:BaTaO 2 N 通过助熔剂氮化法合成,SrTiO 3: Rh 通过固态反应法制备。
- 表征方法:利用 X 射线衍射(XRD)和紫外-可见吸收光谱(UV-Vis)对光催化剂进行表征,确认其晶体结构和光吸收特性。

光催化产氢性能
- 产氢活性:在不同牺牲试剂(如甲醇、Fe 2+、[Fe (CN) 6]4-)中,BaTaO 2 N 和 SrTiO 3: Rh 的光催化产氢活性显著降低,尤其在 Fe 2+溶液中几乎无产氢活性。
- 逆反应抑制:通过引入低浓度 Fe 2+离子,发现其对光催化产氢反应具有显著的抑制作用,表现出类似中毒效应。

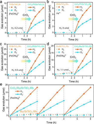
表面修饰与改性
- 修饰方法:通过原位光沉积法在 Pt/BaTaO 2 N 表面引入 CrOx 层,形成核壳结构。
- 修饰效果:CrOx 修饰显著提升了 Pt/BaTaO 2 N 在 Fe 2+和[Fe (CN) 6]4-溶液中的光催化产氢活性,提升幅度达两个数量级。

电子穿梭离子的吸附行为
吸附能力:CrOx 修饰显著降低了 Pt/BaTaO 2 N 和 Pt/SrTiO 3: Rh 对 Fe 2+和[Fe (CN) 6]4-离子的吸附能力。

逆反应抑制:CrOx 修饰有效抑制了 Fe 3+和[Fe (CN) 6]3-离子的逆反应,显著提升了光催化产氢活性。

这项研究展示了通过选择性表面修饰提升光催化产氢效率的巨大潜力,为未来的光催化 Z 型水分解系统设计提供了新的思路和方法。详细信息可以在这里找到。
参考文献 :
Shi, M.; Wu, X.; Zhao, Y.; Li, R.; Li, C. Unlocking the Key to Photocatalytic Hydrogen Production Using Electronic Mediators for Z-Scheme Water Splitting. J. Am. Chem. Soc. 2025, jacs.4c15540. https://doi.org/10.1021/jacs.4c15540.