【Angew】降低了单重态-三重态分裂,促进了热激活反向系间窜越,PLQY提升至近乎100%
总结
研究通过晶格调制实现了热激活延迟荧光(TADF)活性银簇的近乎单位光致发光量子产率(PLQY)。通过阳离子交换和脱溶剂过程,有效控制了单重态-三重态分裂,显著提升了PLQY,从12%提升至近乎100%。 
摘要
本研究展示了一种通过晶格调制实现TADF活性银簇近乎单位PLQY的方法。通过阳离子交换和单晶到单晶(SC-SC)转化,去除客体溶剂,实现了银簇的晶格调制。实验和计算结果表明,晶格调制有效降低了单重态-三重态分裂(ΔE_ST)从718 cm⁻¹到549 cm⁻¹,从而促进了热激活反向系间窜越(RISC),实现了极高效的TADF,超越了磷光和非辐射衰减,提升了PLQY至近乎100%。这一研究展示了晶格调制在实现高PLQY的TADF活性银簇中的巨大潜力。

研究结果分类展示
晶格调制与结构分析
- 晶格调制:通过阳离子交换和脱溶剂过程,实现了银簇的晶格调制。
- 结构分析:单晶X射线衍射(SCXRD)分析显示,Ag6-MeOH和Ag6-α在100 K下均结晶于三斜晶系,空间群为P-1。

光物理性质
光致发光:Ag6-α和Ag6-MeOH在550 nm处表现出明亮的黄色发射,PLQY分别为98.45%和12%。

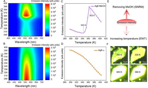
温度依赖性:温度依赖的发射光谱显示,Ag6-α和Ag6-MeOH的PL峰分别红移至560 nm和565 nm。

理论计算
- 电子结构:密度泛函理论(DFT)计算表明,Ag6-α的ΔE_ST值为0.068 eV,低于Ag6-MeOH的0.089 eV。
- 瞬态吸收光谱:飞秒瞬态吸收(fs-TA)测量显示,Ag6-α在400 nm激发下表现出宽带激发态吸收(ESA)。

这项研究展示了晶格调制在提升银簇光致发光量子产率中的巨大潜力,为未来的光电材料设计提供了新的思路和方法。详细信息可以在这里找到。
参考文献
Tian, W.; Zhang, C.; Paul, S.; Si, W.; Wang, Z.; Sun, P.; Anoop, A.; Tung, C.; Sun, D. Lattice Modulation on Singlet‐Triplet Splitting of Silver Cluster Boosting Near‐Unity Photoluminescence Quantum Yield. Angew Chem Int Ed 2025, e202421656. https://doi.org/10.1002/anie.202421656.