【Angew. Chem.】133倍增强!Er³⁺掺杂层状钙钛矿在高温下实现近红外发光突破
文章标题:Dual‐Mode Thermal Response of Visible/NIR Emission in Er³⁺‐Doped Layered Perovskite via Modulating Thermally Induced Oxygen Vacancies and Cross Relaxation
通讯作者:Zhiguo Song
文章链接:https://doi.org/10.1002/anie.202520233

文章概要
引言:破解热猝灭难题的新思路
稀土离子(Ln³⁺)掺杂的上转换发光(UCL)材料因其能将低能光子转化为高能发射而广泛应用于显示、生物医学、光学传感、防伪和激光技术。然而,高温下发光效率下降的“热猝灭”现象严重限制了其实际应用。传统解决方案如负热膨胀(NTE)材料虽能在高温下增强能量转移,但也容易引发浓度猝灭,且适用材料种类有限。因此,寻找具备热增强发光能力的新型宿主材料成为研究热点。

材料设计:层状钙钛矿氧卤化物的优势
本研究选用层状钙钛矿氧卤化物 Bi₄Ti₀.₅W₀.₅O₈Cl 为宿主,首次合成了 Er³⁺单掺杂的系列荧光粉。该材料具备低声子能量、非中心对称配位环境、结构柔性以及易形成氧空位等优点,理论上有利于提升UCL性能。其层状结构限制了层间能量迁移,减少了浓度猝灭风险。

实验发现:可见光猝灭,近红外增强133倍
在980 nm激光激发下,Bi₄Ti₀.₅W₀.₅O₈Cl:10%Er³⁺在493 K时的近红外发光强度(⁴I₉/₂→⁴I₁₅/₂)相较于室温提升了133倍,而绿色(⁴S₃/₂→⁴I₁₅/₂)和红色(⁴F₉/₂→⁴I₁₅/₂)发光则随温度升高而衰减。这种“热增强近红外发光+热猝灭可见光”的双模式响应为光学温度传感提供了新思路。

机制解析:交叉弛豫与氧空位协同作用
研究发现,Er³⁺离子之间的交叉弛豫(CR)过程在高温下被激活,尤其是CR1(⁴S₃/₂ + ⁴I₁₃/₂ → ⁴I₉/₂ + ⁴I₉/₂)和CR2(²H₁₁/₂ + ⁴I₁₅/₂ → ⁴I₉/₂ + ⁴I₁₃/₂)显著增强了⁴I₉/₂能级的布居,从而提升近红外发光。同时,高温诱导的氧空位(OVs)不仅作为载流子陷阱抑制非辐射复合,还降低了层间范德华势垒,促进了能量迁移。XPS与EPR实验证实了氧空位浓度随温度升高而增加,且在高掺杂样品中更为显著。

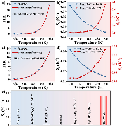
光学温度传感性能:灵敏度达72.26% K⁻¹
利用绿色与近红外发光的强度比(FIR)进行温度测量,在非热耦合能级⁴S₃/₂与⁴I₉/₂之间构建温度响应模型,获得了高达72.26% K⁻¹的绝对灵敏度,远超传统热耦合能级的温度传感器。此外,800 nm与670 nm之间的FIR也展现出良好响应,进一步拓展了该材料的应用潜力。

结论:为高性能光学温度传感器奠定基础
本研究展示了通过调控交叉弛豫与热诱导氧空位,实现Er³⁺掺杂层状钙钛矿在高温下近红外发光显著增强的策略。该材料不仅突破了传统UCL材料的热猝灭瓶颈,还在温度传感领域展现出卓越性能。未来,该设计理念有望应用于多维信息存储、高温环境监测等前沿领域,推动稀土发光材料的智能化发展。