【Angew.Chem.】中山大学童明良教授等|能量垒超800K!创纪录手性单分子磁体实现多维光学读取
文章标题:Chiral Dysprosium Single-Molecule Magnets Displaying Circular Polarized Luminescence and Magneto-Chiral Dichroism
通讯作者:Matteo Atzori, Ming-Liang Tong

文章概要
引言
在当前对功能材料需求日益全球化的背景下,单纯具备磁响应的系统已难以满足高密度信息存储和量子计算的需求。手性单分子磁体(SMMs) 因其能将手性、磁性与光学特性集成于单一分子结构中,成为开发光磁联动功能材料的理想平台。然而,如何设计并合成出兼具高磁反转能垒与强手性光学响应的材料,一直是该领域的巨大挑战。本研究聚焦于镧系配合物,利用其强自旋轨道耦合及丰富的电子跃迁特性,通过精准的配体设计,成功在单一分子体系中实现了磁滞行为、高效率圆偏振发光(CPL)以及磁手性二色性(MChD)的深度融合。

Molecular structures of Dy-S (left) and Dy-R (right), Color code: Dy, green; N, blue; O, red; C, grey. The BPh4− anion and hydrogen atoms are omitted for clarity.
主要实验及结论
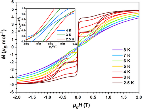
研究团队选用性能卓越的 [Dy(bbpen)]+ 作为构筑基元,引入手性二胺配体,成功合成了两对手性对映异构体。结构分析表明,中心镝离子处于扭曲的八配位正方反棱柱几何环境中,非中心对称的配位场为手性特征的涌现提供了物理基础。磁性测试显示,该材料展现出优异的单分子磁体行为,在零场下的有效能垒高达826 K,并在8 K以下观察到明显的蝴蝶形磁滞回线。

Magnetic hysteresis loops in the 2−8 K temperature range for Dy-S, Inset: Magnetic hysteresis loops between ± 200 Oe.

Room-temperature NCD (top), MCD (middle) and absorption (bottom) spectra of Dy-S/R in CH2Cl2 solution.
在手性光学表现上,该体系刷新了多项纪录。室温下的圆偏振发光测试表明,其在磁偶极允许跃迁处的不对称因子高达0.23,这是目前已知手性单分子磁体中的最高数值。此外,磁圆二色性(MCD)研究揭示了极强的磁光响应。更令人惊叹的是,通过变温变场磁手性二色性(MChD)光谱,研究者不仅在镝基手性配合物中观察到了极强的磁手性光学信号,还利用非极化光实现了对磁滞回线的光学原位追踪。实验证明,随着磁场扫描速率的提高,矫顽力显著增大,这种光学读取手段为磁性状态的无损检测提供了全新维度。

The ΔI (a, b) and _g_lum values (c, d) of Dy-S/R in solution (CH2Cl2) (a, c) and solid state (, d) at room-temperature.

T dependence (see legends) of the MChD spectra of Dy-R and Dy-S at B = ± 1.0 T, with B and k oriented perpendicularly to the (001) crystallographic plane.

Absolute area of the integrated MChD signals (430-460 nm and 840–880 nm ranges) obtained by dynamic MChD measurements acquired at T = 3.0 K with B and k applied perpendicular to the (001) crystallographic plane at different magnetic field sweep rates (see legends) for Dy-R (a,b) and Dy-S (c,d), for the → ( ca. 450 nm) (green) and → ( ca. 470 nm) (blue). Because MChD spectroscopy measures the differential absorption of light between B↑↑k and B↓↑k, the reported experimental data are the same for positive and negative magnetic field values.
总结及展望
本研究通过巧妙的分子工程设计,成功构建了一类兼具高能量垒和超强手性光电特性的多功能材料。该成果不仅证明了bbpen配体支架在制备多功能磁手性响应材料中的核心价值,更验证了利用磁手性二色性进行磁信息读取的可行性。这一发现为开发下一代高性能光磁存储器件、手性光学开关以及手性发光材料开辟了广阔前景,标志着手性镧系材料在协同实现磁、光、电多功能化方面迈出了坚实一步。